(1)「すみません○○ですが、父が最後に薬を取りに来たのはいつですか。12日頃からいないんです」と盆休み明けに娘さんが突然たずねて来た。12日の夕方、お酒に酔って母ちゃんのところに行きたいと泣いている所を近所の人が見かけたのが最後で、16日の今日まで行方不明というのだ。日頃からこの父親は娘も生活があるから世話にはなれんと一人暮しをしていたらしい。丁度、その時、K病院の集中治療室にいると警察からの連絡。倒れているところを救急車で運ばれたらしい。娘さんは涙を流しながら何べんも頭を下げて急いで帰っていった。
(2)約8ケ月程前のことである。85才の父親が胃ガンの手術を受けた。一人娘は病弱な母親と義母の介護のためつきっきりで世話をしていた。手術は成功し4ヶ月ぶりに退院したが、父親はこれ以上娘に迷惑はかけられんと自らすすんでホスピスに入ったという。そして3ケ月後に亡くなった。ホスピスの院長は本人がまったく生きる気持がないので、余命は3ケ月位かもしれないと入院時に家族に告げていた。
(3)老婦人(74才)が腰痛とひざの痛みで久し振りに来局。やっと夫を送ることが出来ましたとポツリ。ピック病と診断されてから4年乗の介護を淡々と話す姿は妻としての大事業を成し得た安堵感に満ちていた。しかし、その姿は痛々しいまでに細くなっていた。
以上3例を紹介したが、どの薬局でもよくある普通のことだと思う。が、私は視点を"介護する側とされる側"にむけて考えてみたいと思うのである。
我国は今、世界に例のないスピードで介護を必要とする者が増加している。その介護が重度化、長期化傾向にある中で少子化により介護する者も高齢化し、また同居率の低下や女性の就労率の増加によって、介護力が益々低下するという大変な現象が起りつつある。
介護保険はこの様な社会を社会全体で支えあっていこうとする社会保障の構造改革であるのは周知のことと思う。
しかし、たとえば認定審査にこの3例をかけた場合、(3)をのぞいては(1)も(2)も確実に自立となるだろう。そうなると過重な負担がこの様に介護される側にもする側にも起ってきて、"諦め・我慢・絶望"を隼むのは明らかである。
かかりつけ薬局をいかに構築していこうかと日々模索している開局薬剤師としては、コンプライアンスを高めるためと言って、服薬指導にほとんどの時間を費やすのではなく、患者側(患者の家族も含む)の声に耳を傾け、共感し、見守るという姿勢が今もっとも求められているのではないか。
幸せなことに福間市薬剤師会は三師会・保健所・行政との連携という財産を持っている。相談内容によっては在宅ケア・ホットラインを活用しつつ、薬局が患者の心の負担を少しでも軽減出来る場所となることをめざして行きたいものである。
(21貢に関連原稿を掲載)
今回はいわゆるドラッグについてです。麻薬、覚せい剤はルートを通さないと手に入れる事が出来ないのに比べ、ドラッグは一部の麻酔薬などを除けば、街でも簡単に購入できます。簡単に手に入れられる為、麻薬や、覚せい剤よりもさらに安易に依存に陥り易い薬かもしれません。これこそ、OTC薬局ででも水際でせき止められるものではないでしょうか?
ただ、今回紹介されているドラッグは、日本ではほとんど過去の遺物となっているもので、日本国内に限れば、薬局で簡単に手に入る物はほとんどないと言って良いと思いますが、外国に於いては、未だ注射薬さえ民間で簡単に入手出来る国もあり、そのような所から、購入して国内に持ち込まれる物については無防備ですので、ここでは、あえてそのまま掲載しました。
(T.S.)
Q.向精神薬の乱用とはどういったことでしよう?
1.医師から処方された薬を正しく飲むこと
2.薬局で買ってきた薬を使用上の注意に従って飲むこと
3.体調や気分が悪いわけでもないのに、精神安定剤などを飲むこと
Q.抗鬱剤などの精神薬も乱用にあたる事があるでしょうか?
1.ない。体調に合わせて自分の判断で飲んでよい
2.ない。使用法に従って自分の判断で飲めば問題ない
3.ある。医師の処方がなければ飲んではいけない
アモバルビタール(amobarbital)、クローラル・ハイドレート(chloral hydrate)、クロールジアゼポキサイド(chlordiazepoxide)、ダイアゼハム(ジアゼハム。diazepam)、フルラゼハム(flurazepam)、グルテチミド(glutethimide)、塩酸メサコロン(メタカロン。methaqualone HCL)、メプロバメート(meprobamate)、オキサゼハム(oxazepam)、フェノバルビタール(phenobarbital)、ベントバルビタール(pentobarbital)、セコパルビタール(secobarbital)、(以下は臨床医学的名称。いずれも商品名)アミタル(amytal)、プチソール(Butisol)、デブロール(Deprol)、イクオニル(Equanil)、ゲモニル(Gemonil)、リブリウム(Librium)、メドミン(Medomin)、ネンプタール(Nembutal)、ノクテック(Noctec)、ブラシディル(Placidyl)、クオルード(Quaalude)、セコナル(Seconal)、チウイナル(Tuinal)、ヴァリウム(Xalium)
アミーズ(Amies)、ハーブズ(barbs)、ブロックバスターズ(blockbusters)、ブルーバーズ(Bluebirds)、ブルー・デヴイルズ(bluedevils)、ブルー・ヘヴンズ(blue heavens)、ブルース(Blues)、キャンディー(candy)、クリスマス・ツリーズ(Cristmas trees)、カレッジ・ピルズ(Courage pills)、ダブル・トラブル(double troble)、ダウナーズ(downers)、ダウンズ(downs)、グスター・ピルズ(gangstar pills)、ジー・ピー(G.B.次のグーフボールの頭文字)、グーフボールズ(goofballs)、グーファーズ(goofers)ゴリラ・ピルズ(godlla pills)、グリーン・ドラゴンズ(green dragons)、イーディオット・ピルズ(idiiot pillsイーディオットとは「バカ」のこと)、キング・コング・ピルズ(kingkong pills)、マシュマ ロ レ ッ ズ(Marshmallowsreds)、メキシカン・レッズ(Mexican reds)、ネピー(nebbie)、ネミーズ(nemmies)、ネンピー(nembie)、ニンピー(nimny)、ピーナッツ(peanuts)、フェニーズ(phennies)、ピンク・レイディーズ(pinkladeis)、ピンク(pink)、パープル・ハーツ(purple hearts)、レインボウズ(raimbows)、レッズ(reds)、セッシー(seccy)、セギーズ(seggies)、スリーパーズ(sleepers)、スリーピング・ピルズ(sleeping pillS)、スタンブラーズ(stumblers。クスリで脚をとられる)、トウティーズ(tooties、tootとはdrinking spree(宴会)などで、フラフラになることを意味する俗語)、イエロウ・ジャケッツ(yellow jackets)、イエロウズ(yellows)
バルビツレートは、バードビトゥリック・アッシド(バルビツレール酸)を含有し、中枢神経(CNS)を抑制する鎮静・睡眠薬です。種類は長時間持続タイプ、中時間持続タイプ、それに極短時間タイプの三種類があります。
短時間内での作用は、バルビツレートと近い関係にある中枢神経抑制剤であるアルコールと作用が類似しています。不安や緊張を解きほぐして穏やかなリラックスした状態が作られます。そうした感情は次第に薄れて、酌訂感の中に消失してゆき、一切のこだわりから解放されます。使用者は発音も不明瞭となり、自ら作り上げた虚構の世界で筋肉は恰もゴムのように感じられて安定しません。外部からの反応には、まるで幽霊(ゾンビ)のように極めて緩慢になります。こうした状態で睡眠状態にはいると、やがて目覚めたときには二日酔いの様な状態になります。
長時間、常に睡眠薬を使用していると、慢性症状が現れます。つまり、いつも気息くウトウトした状態、記憶や注意力を集中していられる幅が短くなり、意識性も筋肉の機能も低下します。感情は不安定となり、分別を欠くようになり、吐き気を催し、不安やイライラが昂じ、不随意な目の動きを示し、ヨロヨロした足取りとなり、発音は不明瞭、そして手足は震えがおさまりません。偏執狂的妄想や周辺への反抗的姿勢が益々高まるその先は、睡眠薬独自の症状、つまり「凶暴性」が待ち受けているのです。
常習的に使用していきますと耐性が生じます。同じ効きめを得るために更に多くのクスリの量を必要とする状態が続き、次第に肉体的にも精神的にも依存性が出来あがってゆくのです。耐性が高まってゆきますと、致死量は変わらないのですが、使用量が随時増加してゆくため、結果として常習的使用者の使用量が死亡事故を招くことになります。一般的に致死量は、正規の処方量の10倍の量であると言われています。
一種類だけでも中毒性の高いものでありますが、これが他の鎮静剤と併用されたとき、その危険性は何倍にも膨らみます。アルコール、麻薬類、各種トランキライザー、非バルビツレート系鎮静催眠剤等との併用は、過量摂取(オーヴァードース)事故の可能性を非常に高めることになります。こうした物質の相乗作用が、中枢神経の働きを抑制し、心臓や呼吸器の機能を著しく低下させ、そして中止させてしまう恐れさえあります。就寝中、「アルコールと鎮静薬との併用は致命的となること」をしっかりと認識する必要があります。アルコールが睡眠薬による抑制作用を強化し増幅する潜在的な力を持っているからです。
こうした併用がもたらす死亡はアメリカでは年間3,000件を上回っており、うち42%は自殺で、残りは過量摂取による死亡事故か、他の薬物との複合的使用による死亡事故となっております。一番危険なことは、鎮静剤の効果で前に服用した薬の量もろくに思い出せない状態になり、知らず知らずのうちに、致死量を越えて使用してしまい、死に至ることがあるのです。
注意;過量摂取(オーヴァードース)事故は、病院において然るべき治療を施す必要がありますが、緊急時、救急隊員の到着までの間は、患者を絶対に眠らせないようにしてください。また、コーヒーを与えるのも禁物です。
何故なら、消化器官にとどまっている睡眠薬の消化管からの分散吸収を促進してしまう働きがあるからです。また、アンフェタミン類(覚せい剤)を与えるのも危険です。こうした組合わせが、ときには死を招くからです。
ルード(Lude)、クオイ(Quay)、クオード(Quad)、ソウブス(Soaps)、ソウパー(Soper)、ナナ・イチ・ヨン(714's)、マンドレックス(Mandrex)
鎮静・催眠剤として作られている「クオルード」は、医師の指示通りに使用している限り安全かつ有効な薬です。正規に製造されたこの薬が、あまりにも多量に不正ルートに流出しているため、アメリカの食品医薬品局(FDA)と麻薬取締局(DEA)とは、製造割り当て量を漸次削減させているほどです。 そして「メタカロン」(Methaqualone)(クオルード。メタカロン又はメサコロンは商品名で、クオルードと同じです)の製造元では、遂に1984年にこの薬を特別の法規のもとに医療用として認めてはいますが、乱用の危険性の大きいクスリでもあります。
現場で最もよく見かけるメタカロンは「マンドレックス」(Mandrex)(商品名)です。もともとメキシコ製のクオルードであるこのクスリには一定した使用量もないため、使用者にとっては非常に危険です。製造元は作ることには懸命ですが、使用量は気に.していない、といったところでしょうか。通常は錠剤かカフセルの「マンドレックス」ですが、ときとして、溶かして直接注射されることもあります 。
本来メタカロンは、鎮静・催眠剤として処方される薬ですから、その作用は感情を鎮め、眠気を誘い、多幸感をもたらすもの(これを薬物乱用者の符丁では「ルーディング・アウト」と言います。「ルーディング・アウト」“luding out”とは、気の抜けたボーっとした状態のこと)です。過量の使用では、幻覚や不安などが現れるほか、非常に警戒しているような様相を呈したり、手足の痺れや耳鳴りを生じたり、自分が不滅であるという感覚が生じたりします。多量に使用しますと、震えを生じたり、睡眠のパターンが極端に変化を見せたりします。
多くの乱用者が過量摂取(オーヴァードース)によって自殺を図っています。心臓や呼吸器のショックなどにより死に至ることもあります。中毒による禁断症状では、頭痛、食欲の減退、悪心、寝付きの悪さ、幻覚、過度の緊張などが見られます。痘攣発作も生じることがあります。メタカロンがアルコールや他の薬物と併用されたとき、その反応は更に大きな危害をもたらす恐れを生じます。
向精神薬にはさまざまな種類がありますが、ここでは鎮静剤、催眠剤、精神安定剤、抗不安剤について説明していきましょう。
鎮静剤は本来、気持ちを安らげ、筋肉の緊張をほぐす薬効がありますが、医師の処方に従わずに乱用すると、一時的な快い気分の後に、舌がもつれる、足元がふらつく、知覚に異常を生じるなどの症状が現れてきます。また多量に摂取した場合には、呼吸器の機能を低下させ、昏睡から死に至ることもあります。
鎮静剤には依存性があり、一定期間使用し続けると耐性を生じます。薬の量が増えた後に、突然使用をやめると、不安、不眠、痙攣などの禁断症状を引き起こします。また、妊娠中の人が鎮静剤を乱用すると、生まれた子供にも影響が起こり、生後しばらくして禁断症状と同様の症状が現れることがあります。
また、先天的な障害を持つ子供、行動に異常のみられる子供が生まれることも報告されています。
催眠薬は、その名の通り、不眠症などの症状を持つ人に正常な眠りを与えるための薬です。この薬は心に落ち着きをもたらし、眠気を誘います。しかし乱用の場合には眠りにはつかず、ふだんのままの行動をおこないます。
すると、薬が効いている間の出来事はほとんど記憶に残らず、夢の中のような状態となります。が、こういった作用が脳などにどのような影響を与えるかは定かではなく、たいへんな危険を心身にもたらすのです。そのうえ過度に服用すると、脳の呼吸中枢を破壊して死に至ることもある、といわれています。
催眠薬の恐ろしさは、耐性にあります。ごく短期間に耐性が形成され、摂取量が急激に増えるので、いつのまにか致死量に達するほどの量を摂取してしまうことがあるのです。
また、アルコールと共に摂取すると、強烈な抑制作用が起こり、昏睡や死亡の危険性もあります。
また、慢性的な乱用の副作用としては、正常な睡眠がとれない、めまい、ふらつき、精子の減少、奇形児の出産などの可能性があるとされています。
この薬は主に分裂症などの精神病の治療に用いられます。正常な精神活動が認められない時に用いるものを、ごく普通の人が乱用すると、恐ろしい作用が現れてきます。
たとえば、一瞬にして頭の中が真っ白になって何も考えることができなくなるようなショック状態、言語不能、文字が書けない、などの極端な症状が現れることも報告されています。また、薬によっては、脳内のドーパミンという物質の分泌を止めてしまうので、全身の筋肉がまともに動かなくなってしまうこともあります。また、行動異常や強迫観念などが起こることもあるようです。
また抗うつ剤として知られているような薬は、一時的に「超人的な気分」をもたらしますが、副作用もすさまじく、不眠、食欲不振、興奮、イライラ、情緒不安定、性器萎縮などが起こります。こういった副作用によって精神的依存が始まり、繰り返し摂取するようになっていきますが、耐性も強く、あっという間に最初の量では効果が得られなくなり、薬物への依存が始まります。
トランキライザーの名で知られる抗不安剤は、一部のものをのぞいて、ほとんどが多大な副作用を持つ成分を含んでいます。乱用による摂取では、翌日にだるさや吐き気、手足のしびれ、眠気、脱力、疲労感、意識がもうろうとするなどの症状が現れてきます。
これらの薬は強迫的な不安感にかられた時に服用するもので、一時的に安らかさや、気分が冴え渡るような感覚を与えてくれますが、あくまでも医師の処方が必要な薬です。
正常な精神活動の人にとっては、その後の副作用により精神的依存を招く恐れのある危険な薬物となることを覚えておきましょう。
鎮静剤の作用は少量のものならば気持ちを和らげ、筋肉をほぐしてくれますが、いくらか多めになりますと、舌がもつれたり、足元がふらついたり、知覚に異常を生じたりします。非常に多量を摂取したときには、呼吸器の機能を低下させ、昏睡から遂には死に至ることがあります。鎮静剤とアルコールの併用はこの薬物の作用を相乗的に高めますので、それだけ危険性も大きくなります。
鎮静剤は身体的にも精神的にも依存を生じます。一定期間使用しておりますと耐性を生じますので、いきおい、クスリの量が増えてゆきます。多量の鎮静剤を常に使用していた人が、それを急に止めますと、不安、不眠、痙攣、さらには死に至るなどの禁断症状が生じます。母親が妊娠中に鎮静剤を使用しておりますと、生まれた子供にも依存性ができていることがあり、そうした場合は生後暫くして赤ん坊に禁断症状が現れます。先天性の障害や行動に異常がある子が産まれたりします。
スクール・ボーイ(男子生徒)
コデインは最も安価で効果的な鎮咳剤で、かつ多少は鎮痛効果もある薬として、人類が有史以前から使用し続けている物質です。この薬はあへん系麻薬ではありませんが、よほど長期間にわたり、而も多量に用いない限り中毒にはなりません。禁断症状もヘロインやモルヒネほど激烈なものではありません。(我国では、重量比で1,000分の10以下のコデインを含有する風邪薬などは、麻薬の規制から除外された「家庭麻薬」として、一般に市販されています)コデインもあへんから抽出される物質です。いわば、兄貴格にあたる物質であるヘロインやモルヒネと異なり、コデインは錠剤或いは鎮咳シロップなどの形で、経口摂取されたときに効果を発揮します。
沢山の薬が複合的に入っている製剤の、一つの成分としてコデインの働きは、中枢神経の抑制作用です。咳を鎮め、痛みも多少和らげるといった効果がありますが、その反面腸の働きを抑えますので便秘の原因にもなります。稀には悪心を伴います。全体的にはモルヒネの効き目よりも穏やかですが、アスピリン、ダーヴオン(Darvoli)、デメロル(Demerol)、ベルコダン(Percodan)、ティレノール(Tylenol)、エンペリン(Emperin)などに比べ、鎮痛効果は大きいものです。
乱用者でない普通の人の場合、咳止めや鎮痛剤を2〜3週間使ったとしても、不安や危険は全くありません。
鎮咳用シロップ(COUGH SYRUP)
咳止めシロップそのものが乱用薬物という訳ではありませんが、長期にわたる乱用は身体的依存を作ります。乱用者が急場をしのぐために咳止めシロップに注目する理由は、大抵の咳止め薬はアルコールとコデインが入っているからです。(日本でも昭和50年代には相当流行しましたが、今でも乱用する人がおります。コデインの含有量は少ないため、乱用者の中には何本も一度に飲むような無茶な人もおります)
ゴリック(Godc)
多くの麻薬の中でもこの「パレゴリック」は子供用のものです。作用はマイルドですから大人も子供も安心して使え、子供の下痢止め等としても用いられます。パレゴリックは、あへん、カンファー(樟脳)アニス・オイル(地中海沿岸に生育する植物の抽出物)、安息香酸から成り立っている薬です。この内、あへんは腸の働きを抑えますので下痢を止める作用がありますし、独特の刺激的な味は、アニスによるものです。
この薬はそのまま飲んだり、水で割って飲んだりします。普通は4〜5時間置きに茶匙一杯位服用します。ところが中毒者になりますとマイルドな麻薬として、或いは鎮静作用を期待して、瓶一本まるまる飲んでしまう人もいます。稀ではありますが、これらの者のなかには、パレゴリックのヤニ状に付着した成分を削り取って、これを注射する者さえおります。また、薬効をより強力にするために、タバコやマリファナをこの薬に浸してから吸う人もおります。
ステロイド
現在の薬物に関する問題の一つにステロイドの乱用があります。ステロイドは男性ホルモンの一つであるテストステロンに倣った合成薬物で、筋肉増強作用があります。筋肉を新たに作り出す作用があるということは、同時に筋肉組織への血流を良くすることでもあり、筋肉疲労を速やかに回復させ、痛みに対する耐性を強化します。
ステロイドは医師の処方せんによってのみ、入手が可能な薬物です。しかし、筋肉増強作用があることから、ステロイドのヤミ市場の動きが表面化してきました。最大のステロイド乱用者は男性の運動選手……フットボール、ウェイトリフティング、ボディービル、そしてトラック競技やフィールド競技(円盤投げ、砲丸投げ、槍投げ)など体全体の筋肉強化を必要とする人々です。もともとスポーツ選手の間だけの乱用問題でしたが、今や小学生程度まで乱用者層の年齢が低下する兆しが見え始めました。
ステロイドの乱用による影響は色々あります。男性の乱用者では肝臓癌や前立腺癌のほか、心臓病や心臓発作、動脈癖、胸痛、高血圧、無精子症、凶暴な行動、過度な緊張、水分の停留(水膨れ状態)、性欲減退、章丸の萎縮、抜け毛の急増、女性的特徴の発現(乳房の肥大化など)、にきび、うつ状態などです。一一方、女性の乱用者では、循環器の病気、肺及び乳房の癌、体毛(顔や体)の成長、生理不順、性器の肥大化、バスト・サイズの減少、抜け毛の急増、声の低音化、凶暴な行動、にきびなどとなっています。同様の副作用の発現が子供の乱用者にあっても見られます。 子供達は行動が極端に変わることを承知で危険を冒したり、急激な成長を試してみたり、肌の色が変色したり、目の色が黄色っぽくなるのをためしたりするほか、黄症、うつ状態、不機嫌、吹き出物などが発現します。
ステロイドの乱用者は極めて危険です。筋肉質の体に見られたいとか、運動競技に立派な成績を収めたいといったプレッシャーが、こうしたクスリの乱用に駆り立てているようです。行動の極端な変化や情緒的急変といったものは彼等自身に深刻な問題を提起します。ステロイドの使用を止めれば、体がすべて元のサイズにもどり、元の肉体的条件に逆戻りすることを、乱用者は知っていて使用を続けている訳ですから精神的な中毒がそもそも問題です。正常な人にとっては、おそらく理解できないことでしょう。
子供達が異常な発育を示したり、行動のパターンがガラリと変わったりしたときは、ステロイド乱用の徴しであると考えられる場合がありますから、父母の方々は充分に注意することが必要です。何事によらず、早期発見が重大な結果の未然防止には必要です。同時に父母の方々は、子供さんに対して、肉体的な属性(特徴など)より、本質的な自己の尊厳というものを確立するほうが大切なことであるという励ましをして頂くことが是非とも必要です。自信をもつこと、それが薬物乱用の未然防止には、何よりも必要です。
(13頁の(注)参照)
Arzneimittelsucht@の成因に関しては、素質的原因と環境的原因の2つが一般に考えられている。ただそのどちらがより根本的な原因であるかは個々の症例によって違うであろう。
SuchtAに関しては、いろいろな観点より解釈されるであろうが、V.GebsattelはArzneimittelsuchtにおいてMittelBそのものが人間を破滅に導くのではなく、むしろその人間がMittelを使用せざるをえなくなった不満、空虚感、実存的苦悩がSuchtにおちいらせ、その人間を破滅に導くことを明らかにした。V.Gebsattelを初めZutt,Kulenkampffなどのいわゆる「了解的人間学的立場」からもSudltに関する解釈が行われている。
Paranoide PsychoseCやPsychopathieDに関する人間学的な解釈については多くの批判もあるであろうが、ここではふれないことにする。しかし少なくともSchlahIittelsuchtEに関しては、人間学的な解釈も可能であるように思われる。というのは、われわれは一人の比較的正常な若者において、不幸な出逢いによって妻を選びながら、二人の住む世界の相違による生活の空虚、不安より、Hyminal中毒におちいり、かくて自らを死にいたらしめた悲劇について深く考えさせられるところがあったからである。
29歳の男子、小学校教師でHと名づけておこう。家族歴、既往歴には特記すべきことはない。八人兄弟の4番目に生まれ、母親の話では過保護や幼児期の異常体験はなかったという。性格は内気で強情な点もあったという が、父は口数の少ない着実な人間であり、母はとにかく多弁であった。家庭は山村のいなか町にあり、経済的には裕福ではなかった。
Hは小・中学校を優秀な成績で卒業したため、某短期大学を卒業させてもらい、教員となって生家の近くの小学校教師となった。校長の話では、結婚前の勤務態度はまじめで熱心で、おそくまで生徒の進学指導にあたるほどで、同僚とのつきあいもよかったという。
やがてそのいなかの小学校にEという才気と美貌にあふれた若い女教師が赴任してきた。彼女は某総合大学の教育学部を卒業したが、登山や音楽を愛好していたという。このEは、早くもHの深い関心と愛着をひかずにはおかなかった。
しかしこの女教師Eには大学時代より親しく交際していた男性の友人があり、大学卒業後もずっと手紙で交際をつづけていたが、Eの話では特別に深い関係まで達していたわけではなかったという。患者Hは結婚前にもこの事実を知っていたが、かれは彼女に対する恋心が燃えあがればそれだけ、彼女の異性との交際に対してはげしい嫉妬心を感じてきた。患者Hは短大卒という学歴上の劣等感もあったが、才気にあふれて活発にふるまうEに対する恋心はついに爆発し、ある日意を決して彼女に自分のせつない恋心をうちあけて、結婚を申し込んだ。
彼女は思いがけぬ結婚の申し込みに、しばらくの間考えさせてほしいと頼み、彼女の両親兄弟と相談したが、かれらはみなこの結婚に反対した。その理由は明らかでないが、とくに彼女の兄は強硬に反対したという。しかしながら、彼女は患者Hのあまりにも熱烈な求愛に逆いきれず、両親兄弟の反対をおしきって結婚を承諾し、Hの実家の近くに二人で間借りの生活が始まった。
結婚後しばらくのあいだは一見幸福そうな夫婦生活がつづいたが、もちろん妻は近くのいなかの小学校へ転勤せざるをえなくなった。Hの述べるところでは、自分だけを短大まで卒業させてくれた彼の両親にボーナスの贈物をしなくとも、妻の両親には欠かさず贈物をしていたという。妻は性的にはかなり冷淡で事務的であり、夫たるHに対して真の愛情をいだいているのかどうか疑いたくなるようなときもあったという。夕食後話し合うことも少なかった。
ある日のこと、Hは妻の不在中に大学時代からの異性の友人から手紙が配達されたのを見つけ、しかも夫たるHに黙って妻が返事を送っていることを発見した。Hの激しい嫉妬心はこのころよりわきあがってきた。日ごろよりなんとなく心から愛情をもちえないような妻の言動を考えあわせて、かれはこのことを妻に問いただすと、妻は冷淡に聞きながし「あなたはどうかしているのでないの」と嘲笑したという。「夫たる自分よりほかに、心から愛している男性がいるのではあるまいか?いや妻はその美貌を誇らしげに、どんな男にも愛想をふりまいているのではあるまいか?」という嫉妬心がかれを苦しめ始めた。
その後、間もないある日曜日のこと、妻の学校の運動会があり、夫のHはこっそりと妻の行動を観察していた。家庭にあってはなんしなく冷淡でよそよそしい妻が、運動会場ではまるで見違えるほどはつらつとし、他の男教師たちと親しげに笑い合っているのをみて、かれはさらにはげしい嫉妬心と、憤怒をおさえることができなかった。その晩帰宅してふたたび冷淡となった妻に向かってHは酒も入っていたが「おまえはほかに好きな男でもいるのか?それとも.浮気女なのか?」とはげしく責めたが、妻は「あなたは気狂いね」と言って相手にもしなかったという。酔いがさめて冷静にかえったHは、妻に詫びを乞うたが、こうしたことにより二人の間の溝はま すます深まっていった。かれが妻に性交を求めても拒絶されることも多く、清疑心と嫉妬心に眠れぬ夜がつづいて、ついにHは近所の薬局よりHyminalを買ってきてのみ始めるようになった。
ひとたびHyminalを服用すると、かれは酪釘にも似た状態になり、ろれつがまわらず、ふらついた。かくて朝からのみ始めて一日に12錠ものむほどにまでなった。妻に対する嫉妬心と不満はますます昂じ「おまえのような浮気女は見たことがない」といって殴打したと思うと妻に詫びを乞うたりした。学校へ行っても教壇上でふらつき、校長から注意を受けたこともあった。
かれは、Hyminalをのんでは妻を殴り責め、そしてそれを後悔して心の悩みを解決するためにふたたびHyminalを服用するという悪循環がつづいた。妻は耐えきれずに幾度か離婚を迫まり、実家へ帰るというと「離婚するならおまえを殺してやる」と脅かしたかと思うと、急に泣きだして妻に許しを乞うたりした。 食欲は減退して療せがめだち、学校も欠勤しがちとなり、たまに出勤しても教壇上でふらつき、ろれつがまわらず、てんかん様の発作も起こして、ついに校長の勧告もあって、昭和37年9月4日に新潟大学医学部精神神経科に入院した。
入院中は案外おとなしく、自分の過去の非を悔い、検査にも協力的であった。食事も睡眠も、ただちに好転した。身体的な検査では異常なく、情意徴標テストでは無力的傾向が軽度に著明で、矢田部−Guilbrdテストでは情緒的不安定、非協調的な傾向がみられ、Rorschach−testでは、外界の状況にふさわしい行動をとれるが、自分で自らを抑制できずに行動によって解決しやすい性格がうかがわれ、また愛情を強く求めながらもそれが抑圧拒否されて、不安の傾向が存在するのが認められた。TATでは家族や妻からの非難回避の欲求と、現実の生活(とくに家庭)で幸福を求めつつもなにか圧倒的な力による不安に支配されていることがわかった。同年9月14日に退院している。
退院後は家族や校長の説得もあり、また本人も心からたちなおろうとする意欲もあって、当分服薬を中止していた。しかるに昭和39年3月の学年度末になると、帰宅もおそくなりがちであり、疲れて家へ帰ってきても夕食ができていないことが多かった。妻は「私も働いて疲れているのですから」といって、夕食のしたくをしようともせずに就寝していたという。患者Hは自ら夕食をつくり、妻にリンゴをむいてやると「私にもリンゴをむくくらいの手はありますわ」といって食べようとしなかったという。「学年末ばかりではないのです。学校にいれば早く家へ帰って妻とあたたかい家庭の雰囲気にひたりたいと思って早く帰るのです。それなのに家へ帰ると、かえってまったくの孤独となってしまうのです」と彼は第2回目の入院時に涙ながらに述べていた。
ふたたび眠られない夜がつづいて、Hyminalが服用され始めた。彼のどうすることもできない孤独、絶望とたたかって、それを救ってくれるものこそHyminalであったのである。
そこへ少量の酒がはいると、ふたたびHは妻に向かって「なぜ俺たちの家には、他の家庭のようなあたたかさがないのか?」「おまえのような冷たい浮気女は出て行け」と殴打し、妻が離婚届を持ってきて印鑑を押してくれと言って実家へ帰ろうとすると、彼は涙ながらに妻に詫びを乞うのであった。
それからまもなく彼が欠勤中、彼は偶然に妻の日記を読んだ。そこには「主人は睡眠薬中毒患者なのだ。中毒さえ治ってくれたら、私は離婚ができる。なぜなら、そのときこそ妻としての私の責任が終るからだ」と書いてあった。彼は愕然とした。「妻たる者は、夫が病気であるからという理由で離婚することはできないであろう。社会がそれを許きぬだろう」そう考えて、いまや彼は逆に自ら求めてHyminal中毒患者となった。妻から離婚を守ってくれるもの、それがいまやHyminalとなったのである。このような中毒への逃避とともに、他方では、「いっそのこと自分さえ死ねば、妻は幸福になれるのだろう」と考えて通勤列車より飛び降り自殺をはかったが軽傷ですみ、またHyminalを大量に服用して自殺を企図したが、妻に早く発見されて吐き出させられ、2日間も昏睡状態におちいったこともあった。
2回目の入院は昭和39年4月11日であった。妻は「私はあの人の妻というよりも、むしろ看護婦なのです。あの人から理由もなく殴られ、殺すとまで脅かされてきました。しかし私が離婚したらあの人はきっと自殺するでしょう。私にはそれだけが可愛そうなのです」と泣き伏していた。今回の入院には明らかに「中毒への逃避」が認められた。「私はほんとうにHyminal中毒を治そうと思って入院しました。しかし私が中毒からなおれば、妻は離婚するでしょう。だから妻は私に入院して中毒より治ってくれというのです。そうすれば妻は堂々と離婚できるからなのです」。
たしかにこの入院中に、妻の父や兄が来訪し、妻の実家より離婚の手続きがとられていた。「私は妻を信じて今度こそは中毒を治そうと思っていました。……それなのに……」。 患者Hは泣いていた。「妻は家族の反対を押し切ってまで私と結婚してくれました。だから私は妻がほんとうに私に愛情をもってくれたと思っていたのです。しかし結婚してみると妻が私を愛しているのかどうかわからなくなりました。それがたまらなく不安になり、妻を責め、私はHyminalをのまざるをえなくなったのです」。
主治医としても惑った。私は両方の家族をよびよせ、HとEも同席してもらって相談しあった。できることなら離婚という不幸な結果に終らぬように努力した。Hは途中で興奮ぎみに妻とふたりだけで話し合いたいといって、面会室より逃げるようにとび出して行った。妻も家族たちも彼を探しまわったが、とうとうその日彼を発見できなかった。妻は主治医たる私に向かって「いまこそはっきりと離婚する覚悟がつきました」といって泣き伏した。結局、両方の家族の間で協議離婚の線がうち出された。妻はその日から一度も大学病院に姿を現わさなくなった。HはやがてHの家族につれられてふたたび来院したが、即日退院の手続きがとられた。
その後Hは数回大学病院の外来に通院した。Hyminalはのんでいないようであった。 しかし私に会うたびに、「先生別れた妻ともう一度一緒になりたいのです。どうか先生の力を貸してください」と心から頼んでいた。
私も協力を惜しまずに、妻の実家や学校へ長距離電話で呼び出したが、いつも、電話口にさえ出てくれなかった。「ふたりで買った家具や貯金もみな嚢は持って行きました」とHは涙をこらえて話していた。
昭和40年に入って、その2月にHは別な女性と見合結婚をしたという。ところが想いがけずも同10月28日未明、Hの勤務する小学校が焼失し、宿直中のHが焼死体となって発見された。火元は宿直室であった。Hyminalをのんでいたかどうかは不明であった。しかし警察は放火自殺か、失火かを中心にして調査したところ、死亡した28日の前日とさらにその前日、Hは学校の帰途、しかも27日は宿直の晩であるにもかかわらず、G町の新しい家庭へ帰る前に、G町を通過してN町に下車していることが確認された。そのN町の駅前旅館には、かれの前妻のEがひとりで下宿をしていたのである。警察の調べではN町の薬局からHyminalを買った事実はまったくなかった。それならばHは死の前の2日間、しかも当直の夜にさえなぜ、N町に行く必要があったのであろうか?それは死んだH以外にはわからぬことである。先妻のEはただ冷淡に「なにもありませんでした」と答えるだけであったという。
この患者Hの死に関して想い出されるのは、Thomas Mannの 「Tonio Krtiger」である。Tonio Krogerは北欧の内向的な父と、南欧の外向的な母との間に生まれた不幸な性格の主人公である。彼はなんの悩みもなく、世界と調和しながら快活に生きる一人の娘の世界に憧れ愛しつつ嫉妬しながらあきらめてゆく物語である。彼女がTonioに恋するなんて「この地上で起こりえないのである」とMannは何度もTonioにいわせている。
患者Hと妻Eの世界も、Tonioと恋する娘との世界が異なるように異なっていた。活発に世界に調和しながら生きる妻Eの世界に対して、患者Hはかぎりない愛情と憧れSehn−suchtをいだいていた。しかしTonioとちがって、Hは妻を自分のものとしたが、二人の世界はけっして一致しなかった。妻Eの世界を愛し憧れればそれだけ、2つの世界の相違による孤独、不安、絶望がHを苦しめた。HはHyminalによってこれをまざらわそうとした。また嫉妬Eifer−Suchtも生じて、2つの世界の溝はますます深まっていった。Sehn−suchtがEifer−Suchtとなり、それがついにHyminaトsuchtへとかれを転落させたのである。いったんHyminal−Suchtへ転落すると、HはEifer−SuchtとSehn−Suchtの両極よりますます転落してゆくという悪循環をくりかえさなければならなかった。そして妻が離婚の意をもかためていったとき、患者Hには愛する者のために自らを殺すか、さもなければ自ら求めて中毒へと逃避するよりほかにはなかったのである。
Kulenkampffとconradとの論争にもあったように患者Hが、もし妻Eと出逢わなかったとしたら、このような悲劇は起こらなかったかもしれない。たしかに、Kulenkampffがいうように、人生とは自然科学におけるように何回もくりかえすことのできない1回かぎりのものであり、しかも人間がいったん選んだ方向はその人間の運命を決定的に支配するのである。私たちは自由をもちながらある運命的な必然性に担われている。そこにはV.Baeyerがあげているだけであるが、不幸な出逢いによる運命がpsychoreaktivFな障害因子として、その人間の生活史全体のなかにはいり込むこともあるのである。すなわち、人生には偶然による必然性という面もたしかに存在する。
またKulenkampffがいうように、患者Hには2つの異なった世界を無理に調和させようとする「不可能なものへの強制」Zwang zunUmibgiichenが存在し、そのZwangGがHの世界を圧倒的に支配して自らを死にいたらしめたものともいえる。ZwangとSuchtはV.Gebsattelが明らかにしたように相互に関係するが、けっして同じものではなく、またMatussekもzwanghaftHな性格によってSuchtへの傾向は強められても、ZwangとSuchtとはAntagonismusIの関係にあるという。患者Hには心理テストの結果からみてもzwang−sneurotischJな傾向は認められなかったが、しかし夫婦間の愛情というものは当然排他的、独占的なzwanghaftな傾向をもつものであろう。
Zuttはwillkurliches TunIとunwillkiirlichesWerdenLを2種類の生きられた肉体性として区別した。SchlahlittelJを服用することは随意行為であるが、これは結局は不随意的生成となり、随意行為としてのSelbstverwifkli−chungNがSelbstvemichtungOになることを明らかにした。しかし患者HのHyminal服用は、渇や飢えや睡眠と同じように、初めから、1つのunWillkiirlichesWerdenではなかったであろうか?さらにZuttは自制の拒否をSuchtの人間学的解釈の中心とし、それをWillenss−chwacheLに帰因させている。だがHは自ら求めてRauschIのためのRauschにおちいり、人工的な気分の変化を求め、“CarPe diemR”となり、また不安や空虚を正常人とは異なるように体験するところのSuchtigerSであったであろうか?たしかに彼には無力的傾向も認められたが、上記のようなSiichtigerの範疇に属するものかどうかは疑問である。しかしいったんHyminalを服用すれば、V.GebsattelやZuttのいうごとく破壊的な衝動にうちまかされてしまうことはありうるわけである。
患者Hはあくまでも妻を愛しながら愛されないという不幸な運命を担っていた。
MatussekはSuchtへの誘因として身体疾患、抑うつ気分、空虚感などがSuchtへと逃避させるが、しかし本当の誘因とは生活史の1つの部分現象にすぎず、しかも患者がもっとも強く体験したか、または自分の異常態度を正当化する場合が多いという。しかしもしそうだとすれば、患者Hは愛する者の幸福のために二度も自殺を企てたりするであろうか?かれが自ら求めて中毒へと逃避したのも、愛する妻を失いたくないというunwillkiirlichesWerdenであり、または妻という心の支えHaltを失うのをおそれたhaltlos(21)な状態にあったためでもあろう。Rorschach−testやTATにもみられたようななにか圧倒的なものによる不安もある程度このような心的状態を示しているといえる。
Suchtに関しては、Matussekの述べているようなoralな段階への退行、「母への避難」という精神分析的な解釈も可能であるかもしれない。また、彼のいうsuchtige HaltungSからみてoralSな特徴をもっている点で、患者Hにも妻に対しても認められるかもしれない、人間学的解釈はさらに広く精神分析学的解釈をとりいれる必要もあるであろう。ただしかし、私が強調したいのは、いわゆる人間学的解釈のなかに現存在分析的な解釈が混入されて、そのため人間学的解釈の理論的なあいまいさが生み出されはしないかということである。というのも私には現存在分析のよりどころとするHeideggerの哲学からは、真にMiteinandersein(21)やmitmenschlidle Begegnungは生まれてこないように思われるからである。私が患者Hの死をいわゆる人間学的にみたかったのは、従来のSuchtに関する人間学的解釈に共鳴したからではなく、むしろSuchtに関する人間学的なみかた、すなわち、ungluckliche BegegnungS,Einmaligkeit der LebensP,そしてZwang zun Unmoglichenという3つの契機から患者Hの悲劇が生まれたように思われたからである。
不幸なる妻との出逢いという運命によって、妻を愛しつつ愛されず、憧れと嫉妬からHyminal中毒におちいり、さらに自ら求めて中毒へと逃避して死んだ一人の若者について報告し、いわゆる人間学的な若干の考察と批判とを行なった。
(医学書院刊「精神医学」第9巻第11号 昭和42年11月 所収)
※ハイミナール(メタカロン)は現在日本では使用されておりません。それ故、現在このようなハイミナールによる悲惨な家庭崩壊は現実には存在しません。しかし、今もなお、存在する各種のドラッグによる同様の話は、そこここに存在すると思います。これはドラッグに限らず、麻薬・大麻・覚せい剤の影響が個人にとどまらず、家庭、家族、引いては社会的に影響を及ぼす、一つの典型ではなかろうかと考えます。
(T.S.)
文中の用語解説
@Arzneimittelsucht 薬物中毒
ASucht 中毒
BMittel 薬
CParanoide Psychose パラノイア(妄想症)
DPsychopathie 精神病質
ESchlafmittelsucht 睡眠薬中毒
Fpsychoreaktiv 心理的な反応
GZwang 強制
Hzwanghaft 強制的な
RAntagonismus 括抗
Jzwangsneurotisch 強迫神経症的
Kwillkurliches Tun 随意的行為
Lunwillkiirliches Werden 不随意的生成
MSchlafmittel 睡眠薬
LSelbstverwirklichung 自己実現
RSelbstvernichtung 自己否定
PWillenssdhwache 意志薄弱
QRausch 酪訂
Rcarpe diem(検索中)
SSuchtiger 中毒者
(21)haltlos 支えのない
(22)suchtige Haltung 中毒症の心的態度
(23)oral 口愛(期)
(24)Miteinandersein 共互存在
(25)mitmenschlicheBegegnung 人間的な出会い
(26)ungluddicheBegegnung 不幸な出会い
(27)EinmaligkeitderLebens 一回かぎりの人生
注:2頁の商品名については何処で流通している名称かは解りませんでしたが、ドーランド医学大辞典で調べて、成分の解った物だけ以下に記載します。
アミタル:アモバルビタール、プチソール:ブタルビタール、イオクニル:メプロバメート、グモニル:メタルビタール、リブリウム:クロルジアゼポキシド、メドミン:へブタビ タール、ノクテック:クロラルハイドレート製剤、ブラシディル:ethechlorvynol製剤、クオルード:メタカロン、セコナル:セコパルビタール、ブァリウム:ジアゼハム
「ダメ。ゼッタイ。」6・26福岡県ヤング街頭キャンペーンが、今年は6月27日(日)午後1時30分より福岡空港第2ターミナルロビーで行われた。このキャンペーンは「ダメ。ゼッタイ。」普及運動の一つで、福岡県では6月26日国際麻薬乱用撲滅デーに一番近い日曜日に行っているとのこと。
ヤングボランティアとして多くのボーイスカウト・ガールスカウト達が参加しており、又、地域団体からも数多くのボランティアが集まり、ヤングボランティアを盛り上げていた。福岡市薬剤師会からは、光安龍彦先生(光安調剤薬局)と藤田彰先生(フジタ薬局)が参加された。
街頭キャンペーンを行う前に空港ロビーで、麻薬探知犬によるデモンストレーションがヤングボランティア数名を交えて行われた。麻薬探知犬の紹介があり、雄のロビンと雌のポーラが登場した時はかなりの見物人で空港ロビーが一時混雑した。麻薬探知犬が、麻薬の臭いを付けたタオルが入っている空箱を捜し当てる時の様子は凄まじいものがあり、一瞬会場が緊迫した空気に包まれた。
その後、ボランティアが数班に分かれて、空港に来られたお客様に「薬物の乱用防止のキャンペーンを行っています。覚せい剤・シンナーの乱用をなくしましょう」と呼び掛けパンフレットを配布し、薬物乱用防止をアピールした。
光安・藤田両先生もヤングボランティアに交じって、約1時間程パンフレットを配布しながら薬物乱用防止を呼び掛けていた。
(広報:森山健次郎)
6月27日(日)福岡空港第2ターミナル2Fで「薬物乱用防止啓発展」が開催された。
昨年同様、今回も門司税関所属のいぬくん、特に、ラブラドール犬の係の方との綱引きは毎回目を見張る。−一方呼びかけは、ボーイスカウトのかわいい声がマイクを通し、ターミナル中によく響いた。しかし、空港利用の方々は、足早に通り過ぎる方が多く、エルガーラ、キャナルの時のようにパネルに見入る姿はほとんどなかったように思われた。
数回のキャンペーンを見せて頂き、市民に啓発するよりも、より回数を増やし、小学校や中学校の子ども達に参加してもらいたいと感じた。声かけ側として心に残して欲しいものである。
(広報:津田和敏)
※41頁の薬局委員会報告参照

藤野 久枝先生の“オネガイ!”で軽く引き受けてしまった事に後悔しながら前回の市薬ジャーナルを参考にと読み返すとあまりの立派さに私のお手本にはならず、どうしようかと思っている内にすっかり忘れてしまい、気がついたら制限時間いっぱい!…で、近頃妙に面白い話に出会ったので書いてみます。
子供の成長期にテレビでアルプスの少女“ハイジ”をやっていました。このマンガが私は大好きで、どうしてももう一度全部見たくて娘に年間のプレゼント(誕生日・母の日・クリスマス)を通じビデオを請求。今、10巻の内9巻まで買ってもらいました。
口をワーツと広げ笑うさま、太さの均一な腕(この腕が私のにそっくり!お付き合いのある方は納得?)を振りながら、「口笛はなぜ…♪」いいですねえ−。この笑顔は、私の教科書です。
ある日、娘が“「ハイジのプランコ」って知ってる?友人が面白いメールを送って来てるよ、見てごらん!”読んでみると、ガーン!私のハイジの見方は浅かった。
オープニングの歌に合わせ、ハイジが異様に長いブランコをこいでいる。 画面で測定した所、前方の空中で一時停止してから後方で止まるまで6秒もかかっている。通常の振り子運動ではロープの重さを無視して計算するが、それに当てはめると長さ36m。これは長い!身長40mのウルトラマンに迫らんとする勢いだ。だが、この場合ロープの重さを無視して良いのだろうか?そこで、直径16mの麻のロープを買ってきた。ブランコとしては手頃な太さだ。1mの重さは170g。片方36mなら結び目を入れても13kg。 さらに、日本女子10歳の平均体重は37kgであることからやや太めのヨーロッパ人であることを考えてハイジの体重を40kg前後とする。 13kgのロープの端に40kgのオモリを付けた振り子の周期は14秒。画面上の周期12秒に合わせて計算するとハイジのブランコの長さは27mとなる。
異例の長さで落差も大きい。最も低い地点では相当なスピードが出るはずだ。画面を静止させて測ってみたら、最も高く上がった地点で垂直方向からの角度は70度。こぎ過ぎである。落差18m。最高速度は時速68km。これは、6階の窓から飛び降りるのと同じ速度である。ディズニーランドのジェットコースター“スペースマウンテン”でさえ、最高時速50kmだ。しかも、シートベルトもなく頼りになるのはオシリの下のせまい横板と両腕だけ。後ろ向きに振られると心臓が点になるほどオソロシイはずだ。
更に足元の遥か下に教会の尖塔が行ったり来たりしている。どうやら100m位上空で遊んでいる様だ。歌の中で「♪口笛はなぜ遠くまで聞こえるの?」などと素朴な疑問を漏らしているが、そりゃ、アンタがそんな高い所にいるからだ! 上空100mに於ける時速68kmの振り子運動。 常人ならとても耐えられないが、ハイジは天真爛漫に笑っている、恐るべき精神力!また気になるのはブランコにどうやって乗ったのか?ということ。歌に「♪教えてー。アルムのモミの木よー。」という節がある。ハイジの生活圏内にモミの大木があるらしい。プランコの設置場所として考えられるのはここだけだ。現在世界最大とされているカリフォルニアのセコイアスギでさえ高さ110m。ハイジのブランコの木は地上127mに枝を張っているのだから楽勝世界一である。
ブランコに乗りたくなるとハイジはこの世界遺産級の巨木にアタックをかける。127m垂直登撃を達成し、間をおかずロープ伝いに27m降り、続いて全身を躍動させ、ジェットコースターなみのスピードを満喫する。遊びあきたらむろん同じルートをたどって降りてこなければならない。
往復308mの垂直昇降。 10歳の小ムスメがいつここまで体力を鍛えたのだろうか?
教えて、おじいさん!
真意の程は分かりませんが、仕入れ、売り上げ、支払いといつも同じ事で頭が一杯な私にとってこんな事で遊んでいる人もいると思うとちょっとした息抜きになりました。
中央支部上人橋薬局今泉本店戸田一美先生、これで充分引き立て役は務めました。あとは、レベルアップ(127m級)をお願いします。
大隈先生がプランコに揺れている姿の写真をジャーナルの表紙に使いたくなるような内容、楽しくなって来ますね。
この内容を楽しみながら『巨人の星』の消える魔球、『アタックNo.1』の風船アタック等々思い出しました。
また、アニメだけでなく特撮の世界には、もっと「ばかばかしい」楽しいものがあります。先生の文中に、身長40mのウルトラマン…というくだりがありましたのでウルトラマンについて、私の愛読書、宝島柳田理科雄著「空想科学読本」から引用して一部紹介します。
(K.T.)

日時:平成11年6月28日
場所:福岡市薬剤師会館
開会宣言:光安副会長
議長・副議長登壇:式町議長 樋口副議長
今回は副議長により議事進行
会長演述:藤原会長
議事運営委員長 日程説明:梅末議事運営委員長
議事録署名人指名:南支部 柴山代議員
中央支部 川上代議員
議事
(1) 報告
第1号 平成10年度事業報告(関連団体報告):入江専務
(2) 議案
第1号 平成10年度歳入歳出決算認定の件:藤田常務
監査報告:中島監事
質疑 これより式町議長進行
(1) 代表質問
イ.城南・早良・酉ブロック:占部吉幸代議員
ロ.南・中央ブロック:田中泰三代議員
ハ.博多・東ブロック:高木淳一代議員
(2) 一般質問採決閉会宣言:合澤副会長
開会
藤原会長演述
第44回福岡市薬剤師会臨時代議員会決定事項報告
閉会

※以上の代議員の方がブロック代表及び一般質問をなさいました。
その内容は、別冊にてお届けします。
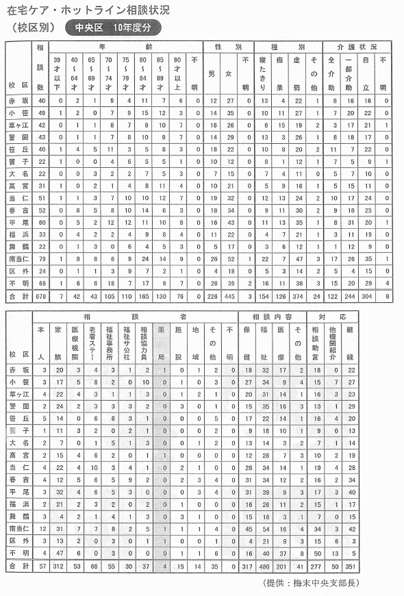
前号の中央支部便りにも簡単に出しましたが、中央区在宅ケア支援の定例会がスタートしました。その会議の内容と共に、ある医師の発表された具体的な事例が、今後の介護支援を考える上で、薬局が気軽に相談できる場所を作っていれば、今後このような問題をかかえる人達にも関わっていけるかもしれないと考え、あわせて紹介します。 (T.S.)
日 時 平成11年6月30日(水)
場 所 中央保健所 作業室(あいれふ6F)
内 容
1)保健福祉総合相談窓口業務について
2)各機関からの報告
・話題提供
・介護保険係より
・訪問看護ステーションより
・高齢者福祉係より
・地域保健係より
3)事例紹介
出席者 中央区医 師 会 7名
〃 歯科医師会 2名
〃 薬剤師会 2名
訪問看護ステーション 3名
在宅ケア・ホットライン 4名
中 央 区 役 所 10名
○来年4月より始まる介護保険について、係からは150ヶ所で説明会を計画しては、とのこと。小学校校区で説明会を行なっているが希望があれば薬剤師会内での説明会でもよいとのことである。
○平成10年度在宅ケア・ホットライン実績より市内ホットライン総数約15,000件中、薬局からは100件と少なく市薬剤節会会員としてはもっとホットラインの利用をして欲しい。
症例 T.S.74歳 男
妻(75歳)と2人暮らし
介護者 :妻
診断名 :脳梗塞後遺症・右不全麻痺・言語障害・糖尿病・高血圧
病 歴 :平成3年、脳血管障害(脳梗塞)、高血圧症、糖尿病でH病院に入院。
軽度の歩行障害と健忘症が残った。
退院後は通院。平成7年と9年に再発作があったが病状は変化なし。血圧と糖尿病のコントロールが不十分の状態が続いた。
平成11年3月再発作。右麻痺、言語障害、失見当識などが出現。友人、家族の希望で入院せず外来で投薬を受けるのみ。
相談経路:同じマンションの友達から当院紹介
ADL :全介助意志の疎通はほぼ可能
寝たきり度:C2
経 過 :3月から訪問診療と中央区在宅ケテ・ホットラインに相談し、訪問看護、ヘルパー派遣。糖尿病はインスリン自己注射(妻)に変更し、血糖コントロールは改善された。血圧、皮フ疾患(腰、腎部、陰部)など改善しつつある。
運動麻痔は、寝返り、座位の保持、車椅子への移動が可能となった。
・訪問診療3回/過
・訪問看護3回/週
・ヘルパー3回/週
PTによるリハビリのメニュー作成と指導
以上の様に本人家族と病院の主治医が、かかりつけ医として病院と診療所の機能の違いについての認識がなく、ホットライン等の存在や福祉サービ云のことを知らなかったことが、再発作を繰り返し、病状は悪化、介護人は疲れ果てる結果となった。
このような事例が少しでも少なくなる様に今後、市民と病院関係者への在宅支援ネットワークの存在の公共的な宣伝が大切であり、かかりつけ医としての機能を担う病院と診療所の連携のシステム化、リハビリに関する知識や施設の情報不足への対応とリノ、ピソ施設の充実を必要としているのである。
在宅ケアについてどこに相談したかの実績がまとまりましたがこれをみると、まだまだ市民が薬局を頼りにしてくれているとは思えない結果がでています。 (T.S.)
広域病院の処方応需に対して大変御協力いただき感謝しております。少しずつですが面に広がり処方枚数も確実に増えておりますが、反面、調剤過誤も現実に起こっております。私達市薬会員も初心にもどって調剤の基本の勉強をやり直す時期にきていると思います。
福岡大学病院薬剤部の協力を得て勉強会を開催するようになりました。近い将来を見据えて福岡大学病院の調剤申し合わせを中心に5回シリーズで下記のように研修したいと思っています。
先生方の多数の参加をお願いいたします。
担当常務理事 瀬尾 隆
◆日 時:7月から 原則第1火曜日
午後7:00〜8:30まで(予定)
◆場 所:福岡市薬剤師会 講堂(4F)
◆内 容:調剤申し合わせ事項中心に院内処方を20例ぐらい出していただく予定です
去る6月6日、南福岡病院で行われた健康フェアに参加させていただきました。このフェアは南福岡病院を広く区民・市民に知ってもらい、からだや健康について関心を持ってもらおうという目的で毎年行われているものです。薬剤師会からの参加は昨年からで今年で2回目でした。フェアの内容としては、先生方によるアレルギーや花粉症に関する講演会や専門医による健康相談、肺活量測定体験、CTによる撮影見学、看護婦さんによる清拭講習会など実に盛りだくさんな内容でした。
また、軽食コーナーではカレーやたこ焼の販売も行われており、学園祭のような雰囲気さえ感じられました。薬剤師会は「調剤薬局コーナー」でお薬の相談にあたりました。相談内容としては今服用している薬の副作用について知りたいとか、薬の飲み合わせが心配だ、などという内容が中心で、薬に対する関心が高いことを改めて感じました。まだ薬剤師として未熟な私としては適切なアドバイスができたかどうか自信はありませんが、今後患者さんに安心感を与えることのできる情報提供、服薬指導ができるように力をつけたいと思います。
今、南区薬剤師会では「医薬研究会みなみ」という研究会を続けています。臨床での専門的な知識を随分と南福岡病院の各先生方に教えていただいております。この知識を大いに活用して地域の患者さんに薬剤師のPRを兼ねて、このような催しにどんどん参加していくことが大切だと感じました。
平成11年6月6日(日)に第5回南福岡病院健康フェアが南福岡病院8病棟等で行われた。あいにくの小雨模様だったが、多くのお客様で賑わっていた。
今回の取材の目的は、南福岡病院から「調剤薬局相談コーナー」を設けるので、調剤薬局で働く薬剤師を派遣してほしいとの依頼が市薬にあったのは、今回が初めてとのこと。
要は、薬に関係する相談コーナーで、病院内薬局の薬剤師と調剤薬局の薬剤師が共同で相談に応ずる形であるが「調剤薬局相談コーナー」という形でコーナーを設けたところに何か大きな意味があるように思えた。
院外処方箋が増えている今日、院外処方に関するトラブルに対する相談のため、又、病院と処方箋を受ける薬局とのコミュニケーションを図るためなど、いろいろな意味があると思われるが、何れにしても病院側の好意的な依頼と思われる。
今回出動された先生は、井上嘉明先生(井上調剤薬局)、未田奈巳先生(スユタ薬局)の2名。相談内容は、喘息治療薬の吸入薬・内服薬に関する相談が多かったとのこと。
健康フェアのメインは、やはり専門医による病気の相談コーナーが賑わっていた。相談コーナーも数多く、内科・心療内科・皮膚科・肺がん・花粉症・いびき・小児科・小児アトピー・小児喘息・肥満・栄養等細かく分かれていた。
一番印象に残ったのは、職員の気持ちのいい応接だった。入口で受付けを済ませたら職員が一人付いて、わかりにくい会場まで案内してくれる。その間、いろいろと話掛けてくれたり、又、廊下ですれ違う職員は皆挨拶をしてくれたりと、職員みんなで来客者を迎えてくれる態度がありがたかった。
取材後、気になる体脂肪率を測定してもらったら、25.5%(男性標準値15〜20%)と遥かにオーバーしていたので、明日からダイエットと思った(だけだった)。

会員数39名(平成11年4月1日現在)
日 時 平成11年6月20日(日)13:00〜15:30
場 所 福岡市薬剤師会館
総 会
1.平成10年度事業報告並びに決算報告
2.平成10年度監査報告
3.平成11年度事業計画(案)並びに予算(案)原案どおり決定
☆会議等 通常総会・新年例会・役員会・監査会
☆各種学会・研修会への積極的参加
・9月19日(日)
女子薬九州ブロック研修会(福岡市)
・10月30日〜31日(日)
第63回九州山口薬学大会(宮崎市)
・11月13日〜14日(日)
第32回目薬学術大会(名古屋市)
・5月29日(土)
太宰府市働く婦人の家フェスティバルの協力
講師 末田 順子先生
・9月7日(火)
福岡県保育所事業への協力
講師 市花 晃先生
々 松本 紀子先生
・10月16日(土)
アミカス女性まつり'99への参加申込
4.その他
*5月24日(月)
第1回役員会にて決定事項報告
参 与 城戸嘉寿子先生 「道の会」福岡支部のお世話依頼
市薬理事 毛利久美子先生 福岡支部副支部長のお世話依頼
*平成11年度 県女子薬総会並びに研修会
平成11年4月18日(日)県薬会館
平成11年度 日本女子薬代議員会
平成11年5月15日(土)〜16日(日)東京
平成11年度 福岡市薬代議員会・総会
平成11年4月24日(土)ニューオータニ
卓 話 福岡支部副支部長 女賀 信子先生
「幸せになれる?話題のくすり」

日 時 :平成11年8月23日19時〜
場 所 :観山荘
出席者 :講師 山本経之(九州大学薬理学教室教授)・稲員市議会議員・藤原長・三津家・小野(信)・女賀・小松・梅末・樋口・下瀬・木村・野口・木原・戸田・遠藤・吉田・柴山・宮崎・鮫島(順不同・敬称略)
1.山本先生講演
薬物乱用防止教育における学校薬剤師の役割と心構え
2.稲員市議会議員挨拶
3.藤原会長挨拶
4.三津家先生により乾杯
5.懇談
6.梅未先生により薬物乱用防止の為の取り組みについて
7.女賀先生により各学薬委員への通達
8.木原先生挨拶
9.散会
(附)薬物乱用防止の為の取り組みについて
(保健所との共催の要請が来ているため現在協議中 以下参照)
(広報委員 鮫島千織)
日 時:平成11年9月7日(火)13:30〜15:30
場 所:交通局会議室
参加者:少年愛護ハト百一ル員 42名(各校区3名×14校区)
企画内容:
@4校区からの活動事例発表
A青少年対策専門員による総括・パトロールの手法講話
*薬物乱用の防止についての取り組み案
@講演 又は Aビデオ上映
B「中央区健康フェア」の案内
C啓発チラシ配布
日 時:平成11年10月14日(木)
場 所:中央保健所
*薬物乱用の防止についての取り組み案
以下の方などに案内を送付する
・青少年問題連絡会会長
・中学校PTA会長
*薬物乱用の防止についての取り組み案
中学校区で健全育成活動に取り組む団体に、講演などの企画をしてはどうかと勧誘する。
日 時:平成11年11月17日(水)
場 所:市民福祉プラザホール
企画内容:
@講演
A校区での活動事例報告
*薬物乱用の防止についての取り組み案
啓発物の配布
健康で豊かな日々のために
〜薬の正しい飲み方、使い方〜
講師 福岡県薬剤師会常務理事 末田 順子
日 時 1999年5月29日(土)
会 場 勤労者体育センター
主 催 太宰府市立働く婦人の家
共 催 太宰府市教育委員会
太宰府市という九州の歴史の要所、市の花は勿論「梅」、木は「楠」というどちらも薬品に関係のある、そして文化と環境に恵まれた土地で、沢山の方々にお出で頂き、講演できたことを光栄に思います。
間もなく21世紀を迎えます。女性にとって21世紀とはどんな時代なのでしょうか。
今、世の中は女性が台頭し福岡県では副知事、福岡市では助役は女性です。
4月から「男女雇用機会均等法」が施行され、女性の社会進出の窓口は広くなったとは言え、女性には「子育て」という大事な仕事があります。育児は母親という社会常識も少しずつ改革され、父親も育児に携わるようになってきましたが、まだまだ解決すべき多くの問題が残されています。
21世紀の最大の問題である高齢社会のなかで介護という苛酷な役割も加わってきます。 また、少子化に向けて神から与えられた特権を放棄せず子供を産むという大切な任務も、忘れてほしくないものです。
保育園、幼稚園の整備、介護保険の確立、老人保健施設の整備等にも我々女性が声を上げていくべきでしょう。
この様な状況の中で、子育てしながら、老人を介護しながら社会参加していく知恵を薬剤師の目を通してお話ししました。
女性は家の「要」です。いつも元気で明るいお母さんは家の光であり、幸せの第一条件ではないでしょうか。
薬だけに頼らない健康作り、最小限の薬で心と体の健康を守ってほしいものです。
この太宰府市立働く婦人の家は働く女性のコミュニティ広場として、幅広い活用がなされており、活き活きとした目で、熱心に聞いていただきました。
1.薬を正しく理解していただくためた
(1) 薬はなぜ効くのか
○吸収・分布・代謝・排泄
○薬の血中濃度
(2) 薬にはどんなものがあるのか
2.年をとるほど薬の副作用は起こりやすくなります
(1) 薬の副作用とは
○年代別・薬の副作用出現率
○薬の副作用とは
3.なぜ副作用が起こりやすくなるのでしょう
(1) 多病・多剤
(2) 薬の相互作用とは
○薬の相互作用
○薬と飲食物との相互作用
(3) 年齢による体の変化
(4)薬の服用の長期化
(5)飲みまちがい
4.どのような副作用が起こるのでしょうか
(1) 高齢者に特に注意が必要な副作用
○肝臓の機能低下
○腎臓の機能低下
○高齢者に多くみられる薬の飲み合わせによる副作用
5.薬と上手につきあうために
(1) 自分の飲んでいる薬について知っておこう
○薬剤師による薬剤情報提供
○市町村の配布する「健康手帳」の活用
○薬剤師会の配布する「お薬手帳」の普及・活用
○薬のことをもっと知ろう
・この薬の名前は?
・何に効くの?
・注意することは?
・副作用は?
・他の薬や食べ物との飲み合わせは?
(2) 薬の飲み方にらいての正しい知識
○服用時間
○服用回数
○説明書や薬袋の用法・指示を必ず読みましょう
○薬をうまく飲むための工夫
・コップ1杯の永
・飲みやすい剤形
・服用時点毎の1包化
1)薬を飲み忘れたらどうするか
2)薬があまったらどうするか
3)症状がなくなったら薬は止めていいか
(3) 薬の保管
6.在宅医療・介護と「かかりつけ薬局」
おわりに
○薬を併用する時は、医師・薬剤師に相しましょう。
○指示どおりの正しい量を、正しい使い方で、正しい時間に飲みましよう。
〇日分の思い込みなどで、自分勝手な判断は止めましょう。
○信頼できる「かかりつけ薬局」をお持ちください。
○薬剤師は、保健・医療・福祉の面で幅広く、相談相手になります。
公民館活動については力を入れている先生方も多いと思います。薬剤師がどのようなことをやっているのかということをアピールするのに絶好の場所です。
早良区では県の薬務課からの依頼、また今年昼保健所からの依頼が5件ありましたが、それらの依頼に確実に十分に応えていくことによって薬剤師としての信頼を勝ち得ていくのだと思います。薬剤師仲間の会合や、医療関係の勉強会も大事だけれど、こういった地域の活動も非常に大切です。
早良支部の本年度の事業計画にも、
1.かかりつけ薬局の育成
(1)対外的啓発活動の積極的推進(公民館活動)
と、新たな項目が加わっています。
介護認定審査委員に薬剤師が福岡市より15名選ばれていることなどを考えれば、私たち薬剤師の責任はますます重くなってくるのではないでしょうか。福岡市民、また行政からの期待も大きいものがあると思います。そのように考えると私たちは地域に密着した活動をもっともっと推進していかなければなりません。 中でも公民館活動は一番身近にある活動ではないでしょうか。
一昨年高取公民館で初めて講演をさせていただきました。クスリの種類、歴史、保管の問題、医薬分業の話など一通りの話が終ってからアレルギーの話をしました。眠っている人もいましたが、おおむね静かに聞いていただきました。20名前後の聴衆でした。
さらに昨年は早良市民センターで200名の前で講演をさせていただきました。その時は、小道具としてビーカーを持っていきました。 「100mlの水」の説明のためです。そういった工夫が楽しくなります。
また薬草観察会や学校薬剤師の仕事などを紹介しましたが、薬剤師の活動を少しでも知っていただけたのではないかと思います。
最近起きているいろいろな事件に対して薬剤師としてのコメントというような形でお話をしてみたり、工夫すれば薬剤師を理解していただける方法が色々見つかるように思います。
現在私は田村6丁目自治会の会計をさせていただいています。
「自治会発足時の役員というチャンスはめったにあるものではない」などと、よく副会長と話したものでしたが、その副会長も一昨年肝炎で急逝されています。
昨年は6丁目自治会単独で敬老会を開催しました。65歳以上の方が30名ほど居住していますが、参加されたのは半数でした。役員のほうがむしろ多い敬老会でしたが子ども会の踊りや、公民館で習っている三味線の披露や、カラオケ等で盛り上がりました。
そこで20分位の講演をさせていただきました。年を取って注意をしなければならないことなどをお話ししましたが、このような機会を作っていただいていることに感謝をしています。
無事終了して、来年の講演は近くの開業医の先生に頼もうとか食事をもう少し増やそうとか、カラオケは敬老会だから懐メロを多く揃えなければなどの検討や反省がありました。
今年も敬老会の時期を迎えて準備をそろそろしなければと会長より話がありました。役員会のワープロ打ちにかからなければなりません。そして公民館も早めに予約しなければなりません。
最近考えることは、こういった公民館活動も一人の力では無理で組織だって動くべきではないだろうかということです。公民館活動で活躍されている先生方は多いけれども、組織だって動くことによって講演会依頼の数も増えてくると思います。また薬剤師会というものをより理解していただけるのではないかと思います。
アピールの場が増えることを願いつつ、今年の6丁目敬老会に思いを馳せています。
本来動物は恒常的に飢えに直面しており、生き残るためには捕食や逃避などの活動に必要なェネルギー源を体内に貯蔵しておくことが必要である。生体のエネルギーは食物摂取により供給され、余剰エネルギーは脂肪組織に貯蔵されている。個々の脂肪細胞における脂肪含量が増加すると脂肪細胞は肥大化して対応するが、更に過剰のエネルギーを摂取すると脂肪細胞が分化・増殖することにより獲得したエネルギーを貯蔵する。この様に脂肪組織におけるエネルギー貯蔵は一連の脂肪細胞の増殖と分化の過程を介して効率的に行われているが、エネルギーの摂取と消費のバランスが破綻し脂肪組織の重量が増加すると肥満を生じることとなる。
脂肪組織は脂肪細胞と間質脈管系細胞から構成されている。成人における白色脂肪細胞の数は約300億個であり、これはヒトの体を構成する細胞の0.5〜1%程度、重量では約20%を占める。また肥満者では400〜600億個に達し、重量の30〜40%を白色脂肪細胞が占めていることとなる。体脂肪率20%の標準的な20歳代の男性の場合、脂肪組織に蓄えられているエネルギー量は約45日分のエネルギー所要量に相当するとされている。
従来、脂肪組織は単なるエネルギー貯蔵庫と考えられていたが、最近ではエネルギー備蓄を調節する器官としての機能を有していることが分かってきた。これに伴い肥満に合併 し易いとされている高血圧症や糖尿病などの疾患と脂肪細胞との関わりも見直され始めている。近年明らかになりつつある脂肪細胞の機能及びその周辺について紹介する。
余剰エネルギーの貯蔵庫と考えられていた脂肪細胞からは各種のホルモンやサイトカインが分泌されており、これらの物質が肥満に伴う幾つかの疾患の直接的な要因に成り得ることが動物実験において確認されている。脂肪細胞から分泌されるこれらの生理活性物質はadipocytokineと総称され、これにはレプチンやTNF−α(tumor necrosis factor α)、アンギオテンシノーゲン等がある。その幾つかを以下に挙げる。
TNF−α‥インスリン抵抗性を誘発するこ とが明らかになり、肥満を伴った糖尿病の発症因子としての可能性が示唆されている。肥満者における腹部脂肪組織のTNアーα発現量は非肥満者よりも増加していることが認められており、更にTNF−α発現量と肥満度、体脂肪率、高インスリン血症との問に有意な相関が認められると共に減量に伴うTNF−α発現量の減少も認められている。
アンギオテンシノーゲン‥アンギオテンシンUの前駆体であり、血圧調節(高血圧症)に影響を及ぼしていると考えられている。
PAl−1(plasminogen activatorinhibitor−1) ‥脂肪蓄積に伴い強く発現され、血栓形成に関与している。
アポプロテインE‥脂質の運搬に関与している。
adipocytokineの1つであるレプチンは、遺伝性肥満マウス(ob/ob)の病因遺伝子としてクローニングされたob(obase)遺伝子の産物である。このob遺伝子の発現は肥満により克達しており、脂肪組織重量がob遺伝子発現を調節していると推測されている。しかしながら生体内においてob遺伝子発現を直接調節しているものが何であるのかは不明である。
血液中のレプチン濃度はBody MassIndex(BMI)や体脂肪率の増加に伴い上昇することが確認されており、分泌されたレプチンは主に視床下部に存在する受容体を介して強力な摂食抑制作用やエネルギー消費増加作用を発現する。更にレプチンは交感神経系を活性化することにより褐色脂肪細胞の機能を先進させて酸素消費量を増大させる。この様な働きを通じてレプチンは体重減少に寄与しており、レプチンの機能不全(レプチン抵抗性)と肥満症との関係が示唆されている。しかしながらヒトにおけるob遺伝子の異常は極めて稀にしか認められず、現在のところ高度肥満児を含む2肥満家系におけるob遺伝子の異常が確認されているのみである。
肥満症の治療手段としてレプチンの投与やレプチン受容体アゴニストの応用が検討されている。しかしレプチンによる食欲減退には耐性を生じる可能性もあり現時点ではレプチンの持続投与による肥満症治療が可能かどうかは不明とされている。
一般に脂肪細胞とは皮下脂肪や内臓脂肪を指すことが多いが、これは白色脂肪細胞と呼ばれるものである。これに対し噛乳動物には形態・機能の何れも全く異なる褐色脂肪細胞が存在している(表1.)。
ヒトにおける褐色脂肪細胞の量は少なく、後頸部や腋寓、肩押骨間、心臓・腎周囲等に限局して存在している。新生仔期には発達しており新生児で約100g存在するのに対して、成人では約40gしか存在しない。
褐色脂肪細胞の働きとして寒冷時と過食後の局所的な熱の放散があるが、これは脱共役蛋白質(UCP:uncouplingproteinまたはthermogenin)の存在によるものである。なおUCPには組織分布の異なるUCP-1,’UCP-2,UCP-3が確認されており何れもエネルギー消費や肥満に関係すると考えられているが、UCP-2,UCP-3の機能については不明な点も多い。
窟歯類においては褐色脂肪細胞の機能低下が肥満の原因に、逆に機能元進が痩せの原因となることが確認されている。ヒトにおいても褐色脂肪細胞の量とウェスト/ヒップ比の間に負の相関が認められるとの報告がある。

従来βアドレナリン受容体(以下β受容体)にはβ1−,β2−受容体が確認されていたが、1984年Archらがβ1,β2作用が非常に少なく且つ選択的に褐色脂肪細胞を活性化し、脂肪分解を促進するβ3−受容体アゴニストを兄い出した。この後1989年にはヒトにおける鋸一受容体の一次構造が解明され、音菌類では白色脂肪細胞と褐色脂肪細胞に、ヒトでは主に褐色脂肪細胞と内臓脂肪にβ3一受容体が存在することが確認されている。
褐色脂肪細胞におけるUCP−1を介した熱産生は交感神経により直接調節されている。 つまり神経終末から分泌されたノルエビネプリンによりアデニル酸シクラーゼが活性化され、細胞内cAMP濃度の上昇、プロテインキナーゼAの活性化、ホルモン感受性リパーゼの活性化、貯蔵中性脂肪の分解といった反応を通じて脂肪酸が遊離される。この脂肪酸は酸化分解されて熱産生基質として利用されると同時にUCP−1に直接結合して活性化する(図1.)。
β3−受容体アゴニストには以下の作用が認められている。@脂肪分解作用と熱産生促進作用による抗肥満作用(肥満動物)、A体重減少の結果脂肪細胞のインスリン受容体数が増加し、高血糖、高インスリン血症が是正される(肥満型糖尿病モデル動物)、B白色脂肪細胞や骨格筋にもUCP−1を発現させ、全身の熱産生能を高める(マウス)、C白色脂肪細胞における糖輸送担体(GLUT4)を増加させ、骨格筋では糖輸送能を促進させる。
上記の作用に加えてβ3−受容体の機能低下は内臓脂肪の蓄積と相関するとの報告もあり、β3−受容体は痩せるための受容体と考えられている。これらのことからβ3−受容体の機能障害は肥満やインスリン抵抗性に関与していると考えられている。事実、肥満や糖尿病を高率に発症するピマインディアンにおいてβ3−受容体遺伝子のミスセンス変異(Trp64Arg)が確認されると共に、変異 における安静時代謝量の低下が認められている。
β3−受容体アゴニストは白色脂肪細胞の分解や褐色脂肪細胞におけるエネルギー消費作用を通じて、抗肥満、抗糖尿病作用が期待できるとされており現在研究・開発が行われている。

βAR:β受容体,Gs:Gs型G蛋白質,AC:アデニル酸シクラーゼ,PKA:プロテインキナーゼA,HSL:ホルモン感受性リパーゼ,CREB:CAMP応答配列結合蛋白質,TG:中性脂肪,FA:遊離脂肪酸
1) 河田照雄.脂肪細胞の分化と特異的機能. 最新医学1997 ; 52(6) : 1078-86
2) 吉田俊秀,也.脂肪細胞の戦略一白色脂 肪細胞vs褐色脂肪細胞-.総合臨淋 1997 ; 46(8) : 2057-63
3) Hotamishgil G S, et al. Adipose expression of tumor necrosis factor- α : Direct role in obesity- linked insulin resistance. Science 1993 : 259 : 87-91
4) 嶋田昌子.アジプシンとTNF-αと肥満. ホルモンと臨床1997;45(2) :181-6
5) Montague C T, et al. Congenital leptin deficiency is associated with severe early onset obesity in humans. Nature 1997 387 : 903-8
6) 吉田俊秀,他. β3-アドレナリン受容体の生理的意義と肥満.医学の歩み 1998 ; 184(6) : 573-7
7) 斉藤正之.脱共役蛋白質ファミリーの構造と生理的役割.医学の歩み1998; 184 (6) : 578-81
8) Walston J, et al. Time of onset of non insulin- dependent diabetes mellitus and genetic variation in the β3-adrenergic-receptor gene. N EngJ Med 1995; 333 : 343-7

1.会長挨拶
日薬の7ヶ条の順守を求められている。
2.報告事項
(1) 会務報告
(2) 委員会報告
(3) その他
3.協議事項
(1) 第44回臨時代議員会の付議事項について
(2) 非会員に対する応需負担金の請求について
(3) 市薬入会のすすめについて
(4) その他
(M.I.)
− ★ − ★ −
1.会長挨拶
現在、コンピューターがどんどん普及し、インターネットを利用して、情報のやり取りが行われている。これを利用して「かかりつけ薬局」のアピールの一つの手段として「地域住民を対象としたかかりつけ薬局の掲示板」のようなホームページを作りたい。住民のかかりつけ薬局に対する意見・質問・苦情等をこのホームページで受け付 けて、それぞれの問題を検討し解決していくことで、かかりつけ薬局というものが地 域住民に理解して頂けるのではないかと思う。県薬に要望しているが、県薬が出来なければ市薬でやることも考えている。
6月から7月にかけての「ダメ。ゼッタイ。」薬物乱用防止活動関連の事業に携わった先生方お疲れ様でした。来年は、現場に市薬の「のぼり」を立てて「福岡市薬剤師会」をアピールしてみてはどうかと考えている。
7月17日に北九州市薬剤師会との懇談会を行い、それぞれの会のかかりつけ薬局に対する考え方を話し合ったことで、意思の疎通があったと思う。
2.報告事項
(1) 会務報告
(2) 委員会報告
(3) その他
3.協議事項
(1) かかりつけ薬局委員会の活動について
・北九州市薬剤師会との懇談会の内容
・備蓄薬の問題
・かかりつけ薬局のテレビコマーシャルの件
(2) その他
(K.M.)
1.会長挨拶
2.報告事項
(1) 会務報告
(2) その他
(3) 会費の件
3.協議事項
(1) 第44回臨時代議員会付議事項について
(2) 支部選出代議員の確認について
(3) 薬剤師不在の問題
− ★ − ★ −
1.会長挨拶
かかりつけ薬局推進のテレビコマーシャルが放映できるような、前準備を進めていきたい。まず、備蓄医薬品の情報提供を構 築すること。次に、薬局店頭に「緑のロゴマーク」を貼ることに、協力して頂くよう呼び掛けること。
2.報告事項
(1) 会務報告
3.協議事項
(1) 備蓄医薬品の情報提供について
(2) 7月〜9月の薬事監視について
(試験センターからのお知らせ)
(3) その他
(K.M.)
7月30日までに提出された議事録を基に報告します
議 事
○薬草観察会について
・今年度観察場所 早良区曲渕ダム周辺(飯場)
・下見予定第1回目8/22(日)、第2回 目9/19(日)
・市薬会員薬草観察会 9月26日(日)
・あいれふ市民薬草ウォッチング10月3日(日)を予定
○かかりつけ薬局の報告一光安副会長より、市薬で導入検討中のFAXコンピューターによる備蓄薬品etc.の情報について説明あり。
○福岡市との共催による薬物乱用防止啓発展について
・反省及び今後の協力(学薬・市)関係について。
・イムズスクエアの人通りの多さは、去年の会場エルガーラより多く、2日目にして薬用茶が品切れの盛況であった。今回の市側発行の乱用防止パンフにはじめて、市薬剤師会の名称がみられた。さらに市薬のアピール向上をはかるため、市薬会長より、のぼり、プラカードの作成をしたらとの提案あり、次回はぜひ実現してほしいと思った。尚、9月4日(土)薬物乱用防止講演会を今度は、治療する立場(中毒者の)より、講師(市医師会)を招いて、薬局委員会、市学薬と共催で行う予定。
議 事
○支部運営状況について
・支部入会金統一(?)
・市薬入会のすすめについて
・研修カード作製について−10月まで様子みる
○ソフトボール大会 10月17日(日)延期なし
武田薬品工業グラウンド 8:30集合
議 事
○光安副会長より
・九大病院院外処方箋の発行推進
・7/17 医療センター開院5周年記念講演会
○市薬薬局現状報告
・5月は連休の影響もあり、一日平均件数が88.4件となっているが集中率は4月と比較して0.4%下がっている
・月・水・金曜日は特に処方内容が多い事もあり、待ち時間が一時間近くとなる事もある
・相互作用検索は相変わらず低迷
・調剤室・備蓄庫に蛍光灯3本増設 受付カウンターの電球取り替え
・薬情開始後、2ケ月が経過し、Do処方時は不必要という患者が出てきている
・来月より学生実習予定
○九大窓口より
・サルタノールインへラー(5粛)の対応について
・調剤薬局による調剤過誤 薬の取り間違いというケースもある
・九大薬剤部は投薬指導の強化を行う
○H11年7月27日に広域病院調剤申し合わせ事項の研修会を実施する
・九大病院の分は薬剤部に依頼、医療センターの分は申し合わせ事項が無い為、市薬薬局の申し合わせ事項を説明する
・国立南病院の分については光安副会長が確認する
・九大・医療センターの窓口からも15分程の時間を設け話をする
− ★ − ★ −
議 事
○市薬薬局現状報告
・一日平均件数は減っているが、集中率はほぼ横ばいの状態
・医療センターの患者数そのものの減少といえる
・相互作用検索、若干増加しているがまだ、利用件数は低い状態
・学生実習開始
7月19日〜8月27日 20名
8月9日〜8月13日 2名
8月23日〜8月27日 1名
○九大窓口
・DM教室報告
・窓口スペース縮小になるかもしれない
○広域病院調剤申し合わせ研修会 タイムスケジュール
19:00〜19:40 九大 手嶋先生
19:40〜19:50 九大窓口 徳永
19:50〜20:00 質疑応答
20:00〜20:20 市薬薬局 江田
20:20〜20:30 医療センター窓口 江崎
20:30〜20:40 質疑応答
20:40〜21:00 南福岡 光安
司 会 藤田
受 付 花岡 土田
マイク 山本 野見山
議 事
○介護保険認定審査会の委員になる薬剤師の研修
○介護給付システム担当課長大久保奨氏による講演
議 事
○7月号市薬ジャーナル用原稿編集
・原稿回収
・市薬代議員会 写真選択
・藤原会長インタビュー。
− ★ − ★ −
議 事
○7月号 初校
・今回から代議員会報告は骨子のみ。詳細は別冊子になる。
・新企画“会長へちょっとインタビュー”
・東区モデル事業報告
・追加原稿
− ★ − ★ −
議 事
○7月号市薬ジャーナル編集会議
・7月号第2校正
・写真コメント補充
南区薬剤師会の運営にいつもご協力いただきまして誠に有り難うございます。いま薬業界は規制緩和などいろいろ問題も多く、決していい風が吹いているわけではありませんが、医薬分業も面に広がりを見せています。
南福岡病院の院外処方せん発行率も50%を越えました。「医薬研究会みなみ」も回を重ねる毎にその成果を上げています。全国の分業率31%、福岡県は50%を越えました。九州中央病院は10月よりオーダリングになります。
九州中央病院にかかっていらっしゃる患者さんには「かかりつけ薬局」としての声掛けをしてください。患者さんの要望があれば、院外処方になるそうです。
分業が広がるとまたいろいろ批判も出て来て、今度は調剤料が高すぎるなど国会で問題にもなっています。
これからの薬剤師の使命を考えて、国民に見える薬剤師として患者さんとの信頼関係をしっかり結んでほしいと思います。先達て、なかなか薬の揃わない薬局の投書がございました。配達するなどの対応は成されているものの、度重なるとやはり非難もでて来ます。
今一度胸に手を当てて反省し、患者中心の医療に力を注いでほしいと思います。南区薬剤師会でも地域の方々のために頑張っていきたいものです。
1. 9〜10月は、健康フェア、薬草観察、ソフトボールなど行事が目白押しです。ご協 力よろしくお願い致します。
10月11日 薬草観察ハイキング「この薬草は何に効くの?」
10月13日 南区健康フェア 「決まりましたか?かかりつけ薬局」
2. 九州山口薬学大会もあります。参加される方には南区でも補助いたしますので参加されて勉強して下さい。
3. 三師会は薬剤師会の当番です。
11月14日 三師会ソフトボール大会 合同懇親会は来年の2月に予定しています。
4. 保健所で行われている救急医療の急患センターへの薬剤師の出動依頼
とてもたいへんな事ですが国会でいろいろ非難されないように国民に信頼される薬剤師になってほしいものです。
今年は新規開局も一段落して、大型病院の院外発行にむけて力をつけて頑張っていきましょう。
部会長 柴山正典
7月14日 梅の花 参加者11薬局
まとまりの取れたいい部会で、和気諸々と楽しい雰囲気で会は進行されました。高宮薬局の石井先生はOTC一本で35年頑張ってこられて、コンビニに薬が置けるという時代の流れに許し難い怒りを話されました。規制緩和の波もどこまで進むか、24時間体制を考えなければならない時がきていることを身にしみて感じます。地域の輪をもって、お膝元の「日赤病院の院外処方せん発行」に努力していただきたいと思います。
部会長 松本泰郎
7月17日 納言 参加者 8薬局
松本部会長のとても熱心な努力により会は進行されました。松本部会長の年間報告は、今までのどの部会報告より素晴らしい内容の濃いものでした。この迫力で今年の井尻部会を変革していただきたい。もっと活気と団結のある部会になるように期待します。
部会長 城戸加寿子
7月23日 花ごよみ 参加者16薬局
城戸部会長の努力により沢山の参加者でした。年間報告に続いて、今後の部会の在り方など話し合いました。南区の中心的な部会として活躍していただきたいと思います。各会員の輪を大切に熱心に又楽しい会話が弾みました。
(支部長:末田順子)
日 時 平成11年6月21日(月)
場 所 福岡市薬剤師会館
議 題
(1) 報告事項
1.平成10年度総会報告他
提案(会費について)協議経過について
2.事業計画承認について
(2) 協議事項
1.第44回臨時代議員会代表質問事項について−田中泰三先生に市薬薬局の現況と今後の運営方針について依頼決定
2.事業計画推進について
・ステップアップセミナー他
今年度は新薬を取り上げて、より具体的な薬物の情報を採っていく物になっているので中央区でも博多区とタイアップして更にこの企画を推進していく。
・健康フェア特に薬物乱用防止啓発活動について
昨年もオリジナルのチラシを作成し各関係機関に配布し、健康フェアの折には、九大の山本先生に講演をお願いしたりしたが、今年も麻薬犬による模擬捜査などを企画している。又昨年に引き続き、薬剤への知識度の調査も行い、昨年男女年齢などを聞かなかったために資料を今後に生かせなかった轍をふまえ、男女別、年齢別に分類できるようアンケートも改良して、その結果は出来れば九山、さらには日薬の大会に発表できる物にしたい。
3.自由民主党入党推進について
会員に更に勧誘を試みる
日 時 平成11年8月9日(月)
場 所 福岡市薬剤師会会議室
議 題
(1) 支部長会連絡事項について
薬務課の巡視の際に、薬剤師身分証(ネームプレート)のチェックが行われている。
全員が必ず胸に付けて店頭に立つように。
麻薬・向精神薬の伝票記帳必務。第2種までは要記帳。他は伝票を別とじにしてわかりやすい帳簿付けをすること。
薬剤節会入会の薦め。未入会リストを渡すので再検討するよう。
(2) 健康フェア活動方針について
10月14日(木)に予定している。
薬物乱用啓発活動を継続していく。学薬と協力して、各学校へのパンフ配布。各地域の青少年育成会の役員等にも声かけをして住民に推進していく。
麻薬探知犬、キャラバンカー要請。出来 れば今年も九大の山本先生の講演をお願いしたい。
体脂肪測定。健康茶のサービス。
薬のアンケートと別に薬物乱用防止についての意識調査もしたい。
(3) 薬務課「すこやかライフくすりのセミナー」講師の派遣依頼について
(4) 薬務課の巡視について
(5) その他
自民党入党の依頼
(広報:鮫島千織)
( )内は出席者
6月8日 県薬 地区連絡協議会(伊東)
9日 市薬 支部長会(伊東)
11日 東区 役員会(伊東・伊藤・中野達・川口・津崎・竹野・楠本・原口・篠崎・馬場智・中野偉)
14日 訪問看護ステイション東訪問(田中・伊東・中野達・原口)
17日 県薬予備代議員会(伊藤)
25日 市薬 議事運営委員会(伊藤)
社保講習会(7名)
26日 県薬代議員会(入江・田中・江藤・松井・伊藤)
28日 市薬代議員会(藤野・竹野・伊藤・中野達・楠本・篠崎・正岡・江藤・伊東)
7月16日 第2回在宅勉強会(5名)
26日 東区在宅ケア検討会(田中・伊東・中野達・原口)
30日 東区健康づくり実行委員会(伊東)
支部長会(伊東)
(支部長:伊東美穂)
今年は出席率も良く、和気あいあいとした部会でした。
(部会長:原田美代子)
松島支部長にも同席して頂き、決算等の報告後は、いつもの様になごやかな懇親会でした
(部会長:東 健一)
松島支部長、合澤・坂田両副支部長にも同席して頂きました。
(部会長:瀬尾 隆)
議 題
(1) 支部事業予定並びに運営について
@夏期レクリエーションについて
A支部薬草観察ハイキングについて
B第13回城南区健康展について
(2) 各委員会事業予定について
(3) その他
本年度、第1回支部運営委員会が開催された。
(支部長:松島照幸)
早良区薬剤師会のお誘いで、ソフトボールの練習試合が行われた。厳しい暑さではあったが、気持ちの良い汗をかかせて頂いた。
早良区薬剤師会は、新調のユニフォームとのことで、お披露目試合となった。
結果は、早良区薬剤師会の勢いにおされ、城南区薬剤師会は大敗した。
(広報:森山健次郎)
平成11年6月
2日 インターネットスクール(A班1回目) 鶴原会長出席
5〜6日 地区指導者研修会 鶴原会長、高木理事出席
6日 介護保険研修会(箱崎会館) 蔵元専務、木原理事出席
7日 理事・部会長・監事会
9日 インターネットスクール(A班2回目)
14日 浜部会 蔵元専務出席
16日 インターネットスクール(A班3回目) 鶴原会長出席
23日 インターネットスクール(B班1回目)
24日 訪問看護ステーションカンフアランス(博多保健所)蔵元専務、木原理事出席
28日 博多区三師会防犯協議会 鶴原会長、蔵元専務出席
30日 インターネットスクール(B班2回目)
平成11年7月
7日 インターネットスクール(B班3回目) 鶴原会長出席
8日 ステップアップセミナー
12日 在宅ケア懇談会(博多区役所) 木原理事、森理事出席
14日 インターネットスクール(C班1回目)
21日 インターネットスクール(C班2回目) 鶴原会長出席
24日 博多区健康フェア 森川副会長、真鍋、木原理事参加
27日 すこやかライフ薬のセミナー(薬務課主催) 講師:木原理事
介護保険認定委員研修会 蔵元専務、木原理事出席
30日 支部長会 蔵元専務出席
平成11年8月
5日 理事・監事・部会長会
9日 千代・吉塚部会
10日 エプソンレセプトコンピューター説明会
(広報:石井雅明)
※第1回は55頁に掲載
私達薬剤師は、大学は違っても薬学専門教育を受けてきたと言うところでは、他の一般の職種の人たちよりも共通のものを持っており、その点では大学時代の思いで話は時代を超え、大学を越えて共感を呼んだり、郷愁を誘ったり、時代のギャップを感じたり出来るのではないかと思います。そこで新企画として“おもひで写真館”というのを考えました。
内容は大学時代の事であれば、何でも構いません。友人達と過ごした夏の思い出、授業のこと、苦労した試験、当時の社会情勢、等々色々な事を書いていただけたらと思っています。投稿される方は大学時代のあなたがはっきり解る写真を添えて下さい。(現在の写真は不要です)一つ例を挙げると、私の知り合いから聞いた話ですが、彼のお母さんが神戸の薬専に通っていたとき、折りしも太平洋戦争の末期、広島に原爆が落とされ汽車は不通になってしまいました。夏休みの帰省を終えて帰ろうとした時、この事態に遭遇し、お母さんは汽車に乗れないので家に戻って来たところ、父親に、おまえには勉学の志がないのかと激しく叱責され、泣く泣く歩いて神戸に戻ったそうです。戦後ののほほんとした時代を過ごした薬剤師の話よりもそんな話がおもしろいかもしれませんが、年代は問いませんので皆様からの色々な大学時代の思い出を待っています。

福岡地区勤務薬剤師会は昭和26年8月に誕生しました。今年で48年の歴史を持ったという事になります。福岡地区勤務薬剤師会を紹介するにあたり、誕生当時の病院,診療所及行政に勤務する薬剤師80名の集団が今日の590名を越えるまでに成長した事は、これまでの48年の重みと歴代会長及び会員のご苦労と努力に敬意を払うものです。
福岡地区勤務薬剤師会は、現在、事務所を九州大学医学部附属病院薬剤部に置き、会長には同薬剤部長の大石了三先生が就任されています。会の目的は(1)会員の学術および職能の向上(2)関係団体と協力し、福岡地区における医療・公衆衛生の増進に寄与する(3)会員の相互の親睦を図ることです。
会員となる範囲は、福岡市のみならず周辺地区即ち大野城市、春日市、太宰府市、筑紫野市、宗像市、前原市、糸島郡、宗像郡、筑紫郡で、又、病院、診療所のみならず官公庁等の行政、大学、薬局、製薬企業、卸に勤務する薬剤師となっております。この事が“福岡地区勤務薬剤師”の本質を表わしています。
“福岡地区勤務薬剤師会”の名称よりどのような会であるかすぐ理解できるでしょうか?“福岡県薬如市会”“福岡市薬剤師会”“福岡県病院薬剤師会などの会は、名称と会の役割が1:1であるため理解できます。しかし“福岡地区勤務薬剤師会”を理解できる人は少ないと思います。それだけこの我々の職能団体がいくつもの役割を担っており、その分、意味深い名称になっているのです。
平成11年3月31日現在の会員数は593名で、その内訳は、病院・診療所413名(69.6%)、開局85名(14.3%)、大学・行政30名(5.1%)、製薬・卸31名(5.3%)となっています。(社)日本病院薬剤師会、福岡県病院薬剤師会、(社)福岡市薬剤師会を関係団体とし、各種事業に協力しています。
日本病院薬剤節会→福岡県病院薬剤師会→福岡市病院薬剤師会という正常な関係の組織がないため、本会が福岡県病院薬剤師会の福岡支部をも兼ねています。
(社)福岡市薬剤師会へは、役員、委員として参加し、学術、研修、組織、会計監査を担当しています。

行事として(1)学術例会を年10回開催(2)レクリェーション1回(親睦テニス大会)(3)会報“有悠”(ゆうゆう)を年2回発行しています。通常例会として現在、「更年期とくすり」をシリーズ物として開催中です。例会10回の内、1回は会員相互の発表場である“薬剤業務懇話会”にしています。

例会の50回毎に記念特別講演を行なっていますが、第450回特別講演には(社)福岡市薬剤節会会長藤原良春先生より「在宅医療と介護保険の取組みについて」という講演をいただきました。
レクリェーションとして親睦テニス大会が行なわれています。今年で11回を迎えました。特に今回は過去最多の50名が遠くは岡山、宮崎からも参加しました。そのため例年以上に賑やかさと華やかさの中、コート内で手に汗握る真剣な勝負魂や、色香ただようプレーに暑さも時間も忘れたひとときでした。
福岡市薬では、なじみの深い篠崎正幸副会長が、第1回より代表世話人としてお世話してこられましたが、定年退職されるため今回が現役最後のプレーとなりました。そして有終の美を飾ることができました。
親睦目的にもうひとつ写真コンテストがあります。平成6年、同好会として結成されました。日常何気なく撮ったスナップ写真や、シャッターチャンスに息を殺したあの写真等を新年例会の祝賀会の場に出品し、コンテストを行なっています。腕自慢の話も尽きませんが、写真に撮った孫の話など和やかな話題も尽きません。
例会や総会に出席できない会員へ 報告する目的や、会の活動状況を連絡する目的、更にコミュニケーションをはかる目的で平成6年より「会報第1号」を発刊しました。今年3 月で第12号になりました。
その他、市薬ジャーナルでご存じの如く、(社)福岡市薬剤師会の恒例行事である春季の懇親ボウリング大会、秋季の親善ソフトボール大会へも積極的に参加しております。勤務 薬剤師会は常に上位にくい込む好成績をあげており、まずは他チームから目標にされているのではないでしょうか?
以上ご紹介致しましたように、福岡地区勤務薬剤師会は、会の構成、役割においてユニークな学術職能団体です。
現在の薬剤師をとり囲く、又、厳しくなりつつある医療環境を考えると、病院薬剤師、開局薬剤師を問わず、それぞれの立場で職能 を十分に発揮する事が救急的に求められています。更に組織的な行動が必要です。福岡地区務薬剤師会も、会の活性化をはかっておりますので、宜しくお願い致します。
(“有悠”の記事を元にまとめました)

※はじめて写真入りとなった「有悠第7号」を1頁のみ掲載
(津田和敏)
'74、ちょうど4半世紀前。大学の卒業式の日の朝、自宅の玄関前にて何やら気取ったポーズで(鬼ごっこの鬼ではありません。念のため)家族にとってもらった写真です。
この頃は髪をストレートロングにしていましたが、この日は特別におめかしをしようと近所の美容室で初めてカールしてもらって、何だか自分じゃないように仕上り、「なんか、いつもとちがう〜」とかなんとか友達に冷やかされた思い出があります。
大学時代の私はと言えば、勉強がどうしても好きになれず(松本教授、ご迷惑をお掛けしてごめんなさい!本当は文系に行きたかったのです)、学校をサボっては映画を観たり、天ブラしたり…。また、その頃は自己主張というか自己表現をしたい時期だったのでしょう、やたら人と違う格好や言動をしてみて、周りを驚かせたりもしました。またそれが楽しいのなんの。コンパ(こちらは皆勤)やディスコも大好きでした。門限に遅れてよくしかられたものです。

と、こういう状況の中で楽しく夢のような3年半余りが過ぎ去り…ふと我にかえると、なんとそこには卒試、国試という黒雲が目前にムクムクと立ち込めていました。「しまった!気が付くのが少々遅かった。おばあちゃんが『啓子ちゃん、学生の本分を忘れたらだめよ』と涙ながらに言い続けていたのはこういう事だったのか」と思い知った私は、それからというもの、人が変わったようにほとんど外出もせず、夜な夜なねじりハチマキで、目の下にくまをつくり、ペンだこに血が渉むくらい勉学にいそしみ、ついに祖母をして「啓子ちゃん、たまには散歩でもしたらどう?勉強ばかりしてたら身体に毒よ」と言わしめたのでした(涙)。
そのかいあって何とかスムーズに卒試、国試もパス(「国家の力を疑う」とクラスメートにそしられながら〜その人は優等生であったにもかかわらず運悪く落っこちた〜)することができ、その後小さいながらも調剤薬局を開局し、優秀なスタッフにも恵まれ、個性ある魅力的な、そして弱者の痛みを分かちあえる薬局を目指して現在に至っております。
栄えある“おもひで写真館”トップバッターの原稿としては、何ともとりとめのないものになり相済みません。私の学生時代の実体をありのままに書くとこうなってしまいました。でも私にとっては忘れがたい大切なセピア色の思い出です。



蘇秦(そしん)は洛陽へ帰った。臨シ(りんし)で子豹(しひょう)に会わなければ大変なことになっていた。
− 助かった
蘇秦は心からそう思っていた。金が尽きたとはいえ、あのような泥棒のまねをしたとは自分のことながら信じられなかった。
− 魔が差すとは、このようなことをいうのだろう。衣食足りて礼節を知るというが、恥ずかしいまねをしてしまった。
蘇秦が洛陽へ帰ってくると、兄や兄嫁は蘇秦を罵倒した。
「それが学問ですか」
長旅でぼろぼろになった衣服を指さしながら兄嫁がいった。
「申し訳ありません。こころざし半ばにして学費が尽きたのです」
「よく帰ってこれたものです」
「‥‥‥」
「私たちがあれほど反対したのに。その反対に耳も貸さず、家を捨てるようにして出ていったではありませんか」
「‥‥‥」「よくおめおめと帰ってこれたものです」
「申し訳ありません」
蘇秦は誤るしかなかった。
「で、今からどうするつもりだ」
兄の蘇代(そだい)が嫁を抑えていった。
「はい。もう一年学問をさせていただきたいと思います」
「まだ懲りないのか」
「鬼谷(きこく)先生に就いて学問をしてまいりましたが、残念ながら学費が尽きました。しかし、私はまだ学問を活かしてはおりません。もう一年独学して、秦へ行くつもりです。秦には公孫散(こうそんおう)という男がいて、変法(へんほう)を行なっています。それによって、どのように国が変わったか興味があります」
「そうか。それでは二年待とう」
蘇代が譲った。
「そのかわり二年が過ぎたときは、兄の私のいうことを聞くのだ。行商も悪くはないぞ。まず食べていくことを考えよ」
「分かりました。約束します」
その夜は久しぶりに、三兄弟揃って飲み明かした。
翌日から蘇秦は部屋へ閉じ込もって勉強した。『鬼谷子(きこくし)』を何度も読み返し、周書の特に『陰符(いんぷ)』を読みふけった。『陰符』は現代でいえば心理学のようなものである。蘇秦は説得ということに全力を傾注した。
「必ず秦に登用されます」
蘇秦は一年経ったころ兄の蘇代にいった。
「忘れてはおるまいな。もう一年であきらめるのだ」
「忘れてはおりません」
「うむ」
「私は必ず登用されて、兄さんたちにご迷惑をかけたぶんお返しします」
「分かった。気をつけて行け」
蘇秦は秦で登用される自信があった。
しかし天は蘇秦に味方しなかった。
秦では今年、孝公(こうこう)が亡くなり、恵文王(けいぷんおう)が新しく王位を継いだ。恵文王の傳(でん)(後見役)と 師(し)(教育役)は公孫散の強引な改革によって入墨・鼻削ぎの刑に処せられている。それも恵文王自身の罪によって、罰せられているのだ。如何に法とはいえ、恵文王としては心穏やかではなかった。
− いずれ目にものを見せてやる
恵文王はいつもそう思っていた。
蘇秦は国境を越した。
「商鞅(しょうおう)殿ではございませんか」
その男が商鞅であることを直感した。
馬陵(ばりょう)で魂(ぎ)のホウ涓(ほうけん)が斉(せい)の孫ビン(そんぴん)に破れたとき、公孫鞅がこの時を逃さず魂へ攻め入ることを孝公に進言した。公孫鞅は大将軍となって魂を攻め落とした。その働きによって商(しょう)の地を授かり、公孫鞅は商鞅と呼ばれるようになった。
「いかにも、商鞅だが」
「私は蘇秦というものです」
「それで」
「失礼だとは思いましたが、声をかけさせていただきました」
「うむ」
「私は鬼谷先生について、学問したものですが、商鞅殿のことは遠く聞き及んでおりました」
「‥…」
「変法は大変な仕事です。どのようになされているか、この目で一目見ようと成陽(かんよう)へ向かっているのです」
「そうか」
商鞅は苦渋の表情を浮かべながら、
「それではおもしろい話を聞かせよう」 といった。
「孝公殿が亡くなって、恵文王殿が王位を継がれた」
「聞いております」
「恵文王殿が太子のころ、私はその傳(でん)と師(し)を罰した。涙を飲んで罰したのだ。その後傳の公子虔(こうしけん)殿は自宅より一歩も外へ出られることはなくなった。恨みをかうのは当然で孝公殿が亡くなった今、私は恵文王殿より追われる身となったのだ」
「それは何としたこと」
「私は逃れて国境へ行ったが、旅館では身元の分からぬものは泊められないという。泊めると連帯責任で一族に害があるというのだ。
これは変法の一番大事なところで、秦の隅々まで徹底されていることが分かった」
「……」
「秦のためにやったことなのに、なぜ私だけが悪者になるのだ。例え魂に逃げ切ったとしても、魂の太子を策略で殺している私を、どうして受け入れてくれよう。それもこれも唯ただ秦のために行なったことなのに、どうして恨まれなければならないのか」
「商鞅殿…」 蘇秦は時代の流れを感じた。
「秦は商鞅殿の行なった変法の上に立って、これから強力な国になっていくでしょう」
「そうか。私も少しは気が晴れた」
「お察しいたします」
「もう会うこともなかろう」
商鞅はそういい残すと魂へ向かった。
蘇秦は恵文王に会った。横に覆面の男が立っている。立派な出で立ちに覆面は似合わない。
− 傳の公子虔か。さぞかし恨みがこもっておろう 蘇秦は哀れを感じた。
「私は蘇秦というものでございます」
一同を見回して、蘇秦が話し出した。
「秦はこのところ変法を行ない、国力もずいぶん増してまいりました。薙から成陽への遷都も無事に行われ、秦はますます発展しております。考えてみますと、遷都というのは国力が充実していなければ出来る事業ではありません。それから変法を行った商虔殿についてもいろいろと聞き及んでおります」
公子虔の目が鋭くなった。
− まずかったか
蘇秦は一瞬そう思ったが続けた。
「商鞅殿は冷血な男と聞き及んでおります。
しかしながら恵文王殿、秦の基礎はそこにあるのです。国が富んできたのも、さかのぼれば商鞅殿の変法が実を結んできたのです」
「蘇秦殿、」
太医令(たいいれい)の李醯(りかい)がさえぎった。
「私は太医令の李醯と申すが、恵文王殿は今日は気分が優れない。手みじかにお話願いたい」
「これは知らないこととはいえ。では手みじかに。私が思いますのは、秦は今後ますます発展していくということなのです。策によっては中華を統一することも夢ではないと思います。私は鬼谷先生に就いて学問してまいりましたが、それを秦の発展のために使っていただきたいのです」
恵文王はしばらく考えていたが、
「商鞅のことだが、確かに前の秦王孝公の時には覚えもめでたく、行なった改革も優れていたと思う。しかしながら犠牲も多く、反発もあり、そういった意味では疑心暗鬼の風潮や混乱を生み出したといっても間違いではなかろう。我が師を刑に処するとは、許せる行為ではない。商鞅を捕えたならば、車裂きにして一族皆殺しにするつもりだ」
蘇秦はぞっとした。恵文王の魄力に負けていた。
− 商鞅の話はまずかったか
蘇秦はがっかりした。勇んで出かけてきたのに、これで又兄へ会わす顔がない。それよりこれまで頑張ってきた学問が、活かされることなく埋もれてしまうのが残念だった。
− 今までやってきたことが、すべて無駄になるのか
「他国のものは当分お抱えにはならない」
公子虔が覆面の下から、こもった声を出した。
「時が悪かったな」
太医令の李醯がいった。
「今後商鞅のことは、お話にならぬが良かろう。ここに居るものは皆、商鞅に煮え湯を飲まされたものばかりだ」
李醯(りかい)が蘇秦を睨んだ。
「気をつけなされ。蘇秦殿」
蘇秦は李醯の言い方が気になった。
宮殿を後にしても、そのことが頭より離れなかった。
− 李醯という男は太医令にまで登りつめながら、度量が小さく、思わせぶりで策を弄する男だ。蘇秦は、李醯が政務のことに口出ししていることに腹をたてていた。医は医に徹しておれば良いのだ。あれほど横やりを入れなくてもよいではないか。蘇秦は洛陽に帰ろうにも帰られなくなった。
考え込んでいるとき、
「蘇秦か」
と、後ろから声がかかった
蘇秦は不審に思った。秦では蘇秦を知っているものはいない。
− まさか、宮殿かもの追っ手か
蘇秦は凍りついた。
「お命頂戴いたす」・
男は素早く剣を抜いた。
「そのような覚えはない。何かの間違いであろう」
蘇秦は早口でいった。
が、男は聞かなかった。限りかざした剣をまっすぐに振り下ろした。剣は肩先を切り裂いた。血が噴き出した。
− 無念だ。ここで死ぬのか
蘇秦がそう思ったとき、男の剣がチャリーンと弾かれた。
「蘇秦殿ではないか」
後ろから声がした。
「おゝ、子豹殿」
蘇秦は助かったと思うと同時に、なぜここに子豹がいるのか理解できない。
男は不利と見て剣を拾って逃げた。
「大丈夫か」
「また子豹殿に助けられました」
「肩を切られたな」
手当をしながら子豹がいった。
「洛陽に帰ったのではなかったのか。成陽で何をやっているのだ」
蘇秦はこれまでのいきさつを話した。
「しかし、子豹殿はどうして」
「秦の孝公殿が亡くなられたので、田忌(でんき)殿に従って弔問に訪れたのだ。新王恵文王殿がどのような人物か、見定めるつもりだ。秦の国力も強くなっている。敵地を偵察というところだな」
子豹が笑った。
「太医令の李醯には気をつけよ。とにかく陰険な男で、気に入らないものは刺客を放って殺しているということだ。医の風上にもおけない野郎だ。とにかく田忌殿の宿へいって手当をしよう」
蘇秦は安心した途端、気を失った。
蘇秦の傷は思ったより深かった。子豹は扁鵲のことを思い出した。
「田忌殿」
子豹は決心したようにいった。
「私は蘇秦を助けたいと思っています。以前邯鄲(かんたん)の扁鵲殿のところへ行ったのを覚えておいででしょうか。扁鵲殿は名医です。蘇秦をそこまで連れていき、扁鵲殿に診てもらおうと思っております。食はありますが、このままいけば膿を持ってやがて高熱が出るでしょう。命に関わります。早くしなければなりません。このようにして死んでいったものを私は何人も見ています」
「邯鄲まで遠いぞ。身体が持つかな」
「持たせます」
「分かった。何人か付けよう」
「それからもう一つお願いがございます」
「うむ」
「もし蘇秦が助かれば、私は扁鵲殿の弟子になりたいのです。私は医を学びたいと思っています」
田忌は驚いた。
− 剣を捨てるというのか。あれほどの腕を持ちながら しかし子豹がいい出したら聞かないことも分かっている。どういう風の吹きまわしか。
子豹のことだから、恐らく長い間考え続けていたのであろう。
田忌は駄々をこねる息子を見るように諦め顔で笑った。
「扁鵲殿によろしく伝えてくれ。いずれ子豹の世話になるかも知れぬな」.
長い道程であった。
途中で傷口が膿みだした。高熱が続き、.脂汗が噴き出す。時々意識がなくなることがあるが、.邯鄲はもう近くだった。
「しっかりしろ。もう少しだ」
そういったものの、子豹は何度も諦めかけた。しかし蘇秦の生命力は強かった。まだやり残したことがある、という意識が消えそうになる命を、燃やし続けているのかも知れない。
− 助けたい
子豹は心からそう思った。
扁鵲の平屋へ着いたとき、子豹はぐったりと倒れた。蘇秦は意識がなかった。
扁鵲は一目で全てを悟った。
「子陽、鍼を」
子陽は鍼を研いで鋭くし、注意深く三陽五会(さんようごえ)に鍼を打った。
蘇秦の意識が戻った。
「石を持て」
つぎに扁鵲は、蘇秦の腫れ上がった肩をばっさりと切り裂いた。血の混じった膿がどろどろと出てきた。
「むっ」
蘇秦の口から思わず坤きが洩れた。
「じきに良くなる。辛抱しろ」
「扁鵲殿か」
「そうだ」
「よろしくお願いいたします」
「そんなことは良い。静かに」
「‥‥‥」
「よく持てたな。天はそなたを見捨ててはおらぬぞ。気を確かに持て」
膏薬を塗って、湯薬を与えた。
翌朝、熱は下がっていた。
「さすがに扁鵲殿」
子豹は感心していった。
「それから子陽殿の鍼もすばらしい」
子豹が懐かしそうに子陽にいった。
「この前と使い方は違うが」
子陽が笑った。
「今日は扁鵲殿にお願いがございます」
「何事」
「実は私に医を教えていただきたいのです」
「医はそのように簡単なものではござらん」
子陽がむっとしていった。
「頑張るつもりです」
「私の鍼を見てそのように思ったのであろうが、見るほどに簡単なものではない」
子陽が諭すように子豹にいった。
「私は鍼を何年やっていると思うか。十年やってまだ満足ではない。思いつきでやれるものではないのだ」
「分かっています。決して思いつきなどではなく、このことは長く考えてきたことなのです。是非とも扁鵲殿の医をご教授願いたく、剣を捨てる覚悟でお頼みしております」
「剣を捨てる覚悟か」
扁鵲は考え込んだ。
その時、子豹の剣が子陽の前で空を切っていた。
「何をする」
子陽は瞬間、飛びのいた。子陽の手に握られた鍼が、二つに切れていた。
「失礼をいたしました。十年励んできた剣の道を捨てます」
「待て。子豹は私の弟子になりたいといっている。私に任せなさい」
扁鵲があわてて制した。
「剣の道ではどうかは知らないが、医を志そうとするなら、子豹よ。おまえは新人ということになる。兄弟子に向かってそのような仕様は許されないぞ」
「申し訳ありませんでした。ただ、私がどれほどの決意でお願いしているのか、分かっていただきたかったのです。子陽殿お許しを」
子豹は鞘口に突き刺さった鍼を、引き抜いた。子豹が切りかかったとき、もう一本の鍼が子陽の手から放たれていたのだ。
「素早い鍼です。見えませんでした」
子豹は笑いながら鍼を渡した。
「鋭い剣だ」
子豹は扁鵲の弟子になった。
蘇秦は一カ月もすると、すっかり良くなった。病が癒えると力が湧いてきた。
「ずいぶんお世話になりました」
蘇秦は改まって扁鵲にいった。
「蘇秦殿、これからどうなさる」
「秦では残念な結果になりましたが、私にはこの道しかないような気がします。まずこの趙(ちょう)で、粛侯(しゅくこう)殿に説いてみようと思っております。このままでは洛陽にも帰れません」
蘇秦を見ていた子明が唐突にいった。
「蘇秦殿、あなたは宰相になるでしょう。それも近いうちに」
「子明の感はあたるからな」
子陽がいった。
「気をつけていきなされ。戦国の世は物騒でござる。また傷を負ったときは、・いつでも来なされ」
「傷といえば」
子豹が思い出していった。
「咸陽(かんよう)での刺客は、やはり太医令の李醯(りかい)の差し金だった。気になってこのひと月の間に調べたのだが、あの李醯という男には相当裏がある。気をつけなければならぬ」
「子豹殿にもお世話になりました」
蘇秦は子豹に改まっていった。
「気をつけて」
蘇秦はしかし趙でも採用にならなかった。
その足で蘇秦は燕へ向かった。
燕(えん)の文侯(ぷんこう)は理解があった。
「秦は大国になりました。それに立ち向かうには、他の六国が同盟を結び、対抗する以外にありません。一国が秦に攻められたとき、同盟国がどのように動くかを、細かく決めておきましょう」
蘇秦は細かく説いた。これがいわゆる蘇秦の『合従(がっしょう)』である。
文侯は感心したが、
「蘇秦殿のいうことは分かった。良い案だと思うが、我国は弱国でいつも隣の趙(ちょう)や斉に圧迫を受けている。思うに、わしとしては趙や斉(せい)とうまくゆけばそれで良いと思っている。趙や斉への土産を持って、六国同盟のことを説いてもらえばありがたい」
「願ってもないことです。必ず文侯殿の意にそうように励みます」
「六国を説くのは大変なことだぞ」
文侯は蘇秦に立派な輜車(ししゃ)を用意し、礼服を与えた。
蘇秦は趙や斉への土産を積み込んで、燕(えん)の大使として趙達へ戻った。
(上村義徳)



6月16日 学術委員会 18:00
18日 薬物乱用防止学習会 19:00
19日 広報委員会 19:30
22日 薬物療法研究会 19:00
23日 急患診療医薬品集編集会議 19:00
24日 目薬試験センター連絡協議会(甲府市)
処方説明会 19:00
26日 第82回県薬臨時代議員会 14:00
28日 第44回臨時代議員会 19:00
30日 薬局委員会 19:30
7月2日 福岡市介護保険事業計画策定委員会 14:00
5日 広報委員会 19:30
6日 福大病院薬剤部勉強会 19:00
市薬薬局委員会 19:00
7日 急患委員会 19:30
9日〜10日
福岡市薬物乱用防止啓発展(天神イムズ前馬場) 10:00
13日 薬物療法研究会 19:00
広報委員会 19:30
かかりつけ薬局特別委員会 19:30
15日 介護保険懇談会(医師会) 18:30
16日 在宅医療委員会 19:00
急患診療医薬品集編集会議 19:00
17日 介護保険特別講演会(医師会) 13:30
九州医療センター5周年記念式典
北九州市薬との連絡協議会 15:00
21日 第318回理事会 19:30
22日 処方説明会 19:00
23日 組織委員会 19:30
市薬薬局委員会 19:30
福岡市健康づくり推進協議会(あいれふ) 15:00
24日 薬局委員会 16:00
27日 福岡市介護認定審査会 18:00
広域病院調剤申し合わせ研修会 19:00
28日 「すこやかライフ くすりのセミナー」(博多保健所)14:00
30日 支部長会 19:30
31日 広報委員会 19:30
〜感謝の意を表して〜
九州大学大学院澤田教授の“私のやっている医療薬学研究”が、7月号掲載分で7回のシリーズを終了した。遅ればせながら澤田先生の御厚意と熱意に心より御礼を申し上げる。
そもそも大学教授による“開局薬剤師のためのゼミナール開講”は劇的であった。全国でも例を見ないケースに出合えた我々はとてもラッキーである。その上、大学教授の殻を打ち破る個性をお持ちで、お心が広くフランクな方だと聞く。その上、ハンサム。
今後も我々福岡市薬会員のために、先生のシャープな視点で末永く御指導下さるよう願うばかりである。
(北島啓子)
〜シーズン到来・参加してみては?〜
9〜10月は、薬局・組織委員の先生方が忙しくなる。薬草観察会・健康フェア・ソフトボール大会等過密スケジュール期。会員のみなさん、どれか一つ参加されてみては。何か素敵な出会いがあるかも。
(森山健次郎)
〜学術的リーダー〜
今回の「支部訪問・おじやましま〜す!」は福岡地区勤務薬剤師会です。昭和26年に発足し伝統ある会で、現在600名近い会員がいます。学術的リーダーとして、市薬学術講演会、実務研修会など、尽力されています。
新年に催されるフォトコンテストの優勝写真が市薬ジャーナルの表紙を飾ったら楽しいですね……。
(伊東美穂)
〜お 守 り〜
つい最近まで旅に出るといえば道中の無事を願って神社のお守りを持たせたものである。
今、親となって子どもに持たせるのは、携帯というケースも増えている。しかし、子どもにとって、これで親とコンタクトがとれていると感違いして何日も家へ帰らず外泊を続ける者も増えて来て、「プチ家出」という新語まで出来た。これはやはり親に対する子のあまえなのだろう、自立とは正反対なのである。
学校としては、小学校でさえ、携帯は立前禁止であるが、今1学期の大雨の時、数人が親の判断で持参し、連絡がとれスムーズに帰ることができ助かったという例もある。使い方を間違えなければ、実用的お守りといえよう。
(津田和敏)
〜三陽五会〜
史記に「扁鵲は弟子の子陽にいいつけて、鍼を砥石で研がせ、太子の身体の外面にある三陽五会に鍼をうった」とある。子陽は鍼の上手だなと思う。さらに「弟子の子豹にいいつけて、五分の界をつくり、それを八減の剤で煮させて」とある。すでに子豹は扁鵲の弟子である。戦国策に「蘇秦は秦王を説得しようと意見書を十回ほど奉ったが用いられなかった」とある。蘇秦と秦王は面会していないのかもしれない。真実の向こうにうそがあり、うその向こうに真実がある。『扁鵲』をよろしく。
さて今回支部訪問では勤務薬剤師会の詳細が分かる。昭和26年発足ということで歴史を感じさせる。
(上村義徳)
〜総 裁 選〜
自自公をめぐる路線論争は激しい言葉が行き交う泥仕合の様相を呈している。ある程度予想されたことだが、「さわやかな政策論争」 とは程遠い姿である。もともと「政策に大きな違いがあるわけではないから、本気で争えばむき出しの権力闘争にならざるをえなくなる。選挙後のしこりや亀裂が懸念される。」
こういう激しい「総裁選を2年に1度やる」のが自民党にとって本当にいいことかどうか、かつての派閥政治、金権政治を復活させることにならないかどうか、総裁任期のあり方を含めて冷静に考えてみる必要がある。(傍点引用者)
これは日経新聞 9月6日(月)朝刊風見鶏に編集委員の安藤俊裕氏が書かれた論説故、お読みになった方は多かろう。
学術団体であり、ボランティア的組織である市薬では来年も投票による選挙だって!
(戸由昭洋)
さいごの頁関連の新聞記事を20頁に掲載。 合わせてご覧ください。